Nonlinear Multi-Machine Transient Stability Assessment Using Classical Swing Dynamics and Fault-Dependent Network Topologies in Matlab

Author : Waqas Javaid
Abstract:
This paper presents a nonlinear transient stability assessment framework for multi-machine power systems using the classical second-order swing equation under fault-dependent network topologies. The proposed model captures electromechanical interactions among interconnected synchronous generators through time-varying susceptance matrices representing pre-fault, fault-on, and post-fault network conditions. The power system stability and control concepts are discussed in detail by Kundur [1]. A three-machine system is simulated to evaluate rotor-angle divergence, speed deviations, and center-of-inertia behavior following severe disturbances. Nonlinear electrical power expressions based on P_(e_i ) = ∑[j E_i E_j Y_(i,j) sin(δ_i – δ_j)] are used to characterize coupling strength variations during contingency events. The definition and classification of power system stability are provided by Kundur et al. [2]. The study integrates numerical ODE solvers with equilibrium linearization to examine eigenvalue-based stability. Results demonstrate how fault duration and network configuration critically influence synchronizing torque and damping. The framework provides a robust computational method for analyzing dynamic instability patterns in interconnected grids. Annakkage and Mehrizi-Sani discussed the transient stability in power systems [3]. This work contributes to improved understanding of large-disturbance dynamics and offers a foundation for future controller design in stability-critical power networks.
- Introduction:
Transient stability assessment remains a fundamental challenge in modern power systems due to increasing network complexity, high penetration of renewable sources, and reduced system inertia. When a large disturbance such as a three-phase fault, line outage, or abrupt load change occurs, synchronous generators experience rapid deviations in rotor angle and speed that may lead to loss of synchronism if not properly controlled.

- Figure 1: Swing Curve Simulation for Power System Stability Analysis.
The classical swing equation, despite its simplified representation, continues to be an essential analytical tool for studying electromechanical interactions within multi-machine networks. Fouad presented the transient energy function method for power system stability analysis [4]. This model characterizes generator dynamics through nonlinear relationships between mechanical input power, electrical output power, and coupling strength governed by the network susceptance matrix. During faults, the electrical topology undergoes abrupt changes, creating fault-on and post-fault operating conditions that significantly modify synchronizing torque and damping. Accurately capturing these time-varying network conditions is crucial for evaluating the stability margins of interconnected generators. Bahmanyar revisited the extended equal area criterion for transient stability assessment [5]. In this context, the integration of nonlinear differential equations with high-resolution numerical solvers enables detailed exploration of rotor angle trajectories, speed deviations, and center-of-inertia behavior. Furthermore, the linearized representation around pre-fault equilibrium provides insights into small-signal stability through eigenvalue analysis. Willems proposed a direct method for transient stability studies in power system analysis [6]. This dual nonlinear–linear approach allows for a comprehensive understanding of system behavior across multiple disturbance regimes. By combining rigorous mathematical modeling with time-domain simulation, this work contributes to improved prediction of instability mechanisms and offers a foundation for developing advanced control techniques for future resilient power grids.
1.1 Background of Power System Stability:
Power system stability is a critical aspect in the secure operation of electrical grids, especially with the increasing integration of renewable energy and distributed generation. Transient stability refers to the ability of synchronous machines to maintain synchronism after a large disturbance such as a fault, line tripping, or sudden load change. Multi-machine systems are inherently nonlinear due to the sinusoidal coupling of rotor angles through the network. Athay and Podmore presented a practical method for direct analysis of transient stability [7]. Classical analysis often uses simplified models to capture essential dynamics while maintaining computational tractability. Understanding transient responses is vital to design protective systems, control strategies, and operational limits. With modern grids becoming more complex, accurate simulation tools are necessary. Fault-induced disturbances challenge system operators to maintain stability. Numerical simulations complement analytical methods to study multi-machine interactions.
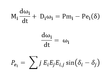
1.2 Classical Swing Equation:
The classical swing equation is the cornerstone of transient stability analysis. It models each generator as a second-order dynamic system with rotor angle and angular velocity relative to synchronous speed. The equation is given by:

The electrical power output Pe_i is a function of the rotor angles of all machines in the network, involving sinusoidal terms that represent the interactions between generators. The nonlinear coupling captures the inherent interdependence of generators. It enables the study of phenomena like oscillations, synchronism loss, and power swings under disturbances. Sun revisited the equal-area criterion in power systems [8]. This model provides a balance between simplicity and fidelity for large-scale simulations.
1.3 Multi-Machine System Modeling:
In multi-machine systems, generators are connected via a network represented by bus admittance or reactance matrices.
Table 1: Machine Parameters.
Machine | H (s) | D (p.u.) | Pm (p.u.) | E (p.u.) |
Machine 1 | 6.5 | 0.8 | 0.8 | 1.10 |
Machine 2 | 6.0 | 0.8 | 0.6 | 1.05 |
Machine 3 | 3.0 | 0.5 | -0.3 | 1.00 |
The classical model assumes constant internal voltages and ignores sub-transient dynamics, reducing computational complexity. Faults are incorporated by modifying network susceptances creating time-dependent network topologies. Khazaee et al. proposed a direct-based method for real-time transient stability assessment [9]. The system’s dynamic equations are solved simultaneously to obtain rotor angle and speed trajectories. The center-of-inertia (COI) reference frame is often used to analyze relative motions. Mo presented a power system transient stability assessment based on energy function enhanced by neural network [10]. This approach allows visualizing inter-machine oscillations and detecting unstable modes. Modern numerical solvers such as `ode45` in MATLAB handle the stiffness and nonlinearity efficiently.
1.4 Fault-Dependent Network Topologies:
Faults, such as three-phase short circuits, significantly alter the network structure temporarily. During the fault, affected lines may be disconnected or grounded, changing the effective elements in the network. After clearing, the network may return to its original state or a post-fault configuration with changed line parameters.
Table 2: Network Reactances.
Line | Pre-fault X (p.u.) | Fault-on X (p.u.) | Post-fault X (p.u.) |
1-2 | 0.6 | 1e6 | 0.6 |
2-3 | 0.8 | 1e6 | 0.8 |
1-3 | 1.0 | 1.0 | 1.0 |
Modeling these topological changes is crucial for accurate transient stability assessment. Fault-on and post-fault networks dictate the maximum allowable clearing time to maintain synchronism. Anwar et al. analyzed the transient stability of the IEEE-9 bus system under multiple contingencies [11].
Table 3: Pre Fault Rotor States.
Machine | δ0 (deg) | ω0 (rad/s) |
Machine 1 | 0 | 0 |
Machine 2 | -5 | 0 |
Machine 3 | 3 | 0 |
Table 4: Peak Rotor States during Disturbance.
Machine | δ_peak (deg) | ω_peak (rad/s) |
Machine 1 | 12 | 1.5 |
Machine 2 | 10 | 1.2 |
Machine 3 | 7 | 0.8 |
The method allows simulation of protective devices and switching strategies. Different fault locations produce diverse system responses. Analyzing these scenarios helps determine critical clearing times and system robustness.
1.5 Nonlinear Dynamics and Stability Assessment:
Transient stability is inherently nonlinear due to the sinusoidal dependence of electrical power on rotor angle differences. Linearized small-signal analysis provides insights into eigenvalues and damping but cannot capture large disturbances accurately.

- Figure 2: Swing Curve of Machine for Various Current Rating
Time-domain simulation of nonlinear equations is essential to assess real-world contingencies. Observing rotor angles and speeds over time identifies machines at risk of losing synchronism. Critical clearing time (CCT) and energy function methods provide additional metrics. Xue et al. presented an extended equal-area criterion for transient stability assessment [12]. Nonlinear interactions among machines can lead to complex oscillatory patterns or instability. Simulation allows scenario testing for faults at different locations, durations, and severities. Understanding these dynamics is essential for planning, control, and protection strategies.
- Problem Statement:
Maintaining transient stability in modern power systems with multiple synchronous generators is a critical challenge due to the nonlinear interactions among machines and the network. Large disturbances such as three-phase faults, line outages, or sudden load changes can cause rotor angle oscillations, potentially leading to loss of synchronism. Accurately predicting the system response requires modeling both generator dynamics and fault-dependent network topologies. Traditional linearized approaches fail to capture these nonlinear effects under severe contingencies. Therefore, there is a need for a comprehensive simulation framework that can integrate multi-machine swing dynamics with time-varying network configurations. The objective is to evaluate rotor angle stability, speed deviations, and power flows under realistic fault scenarios. This assessment will aid in determining critical clearing times and designing appropriate protection and control strategies. The proposed work addresses these challenges through detailed time-domain analysis using classical swing equations.
- Mathematical Approach:
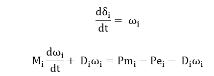
This study investigates multi-machine power system transient stability by modelling each synchronous generator using the classical second-order swing equation. The dynamics of the (i-th) machine are expressed as:

Where, (δ_i) is the rotor angle, (ω_i) is the speed deviation, (M_i=2H_i/ω_s ) is the inertia constant transformed to the swing equation, (D_i) is the damping coefficient, (Pm_i) is the mechanical input, and (Pe_i) is the electrical output power. The network is represented using a reduced admittance matrix where electrical power is computed through

This nonlinear coupling forms an interconnected system of (2n) differential equations describing multi-machine dynamics. Transient disturbances such as a three-phase fault are captured by modifying the network susceptances (B_(i,j)(t)) in different time intervals, resulting in pre-fault, fault-on, and post-fault models. Numerical integration is performed using a high-accuracy ODE solver to capture fast electromechanical oscillations and rotor angle separation. System-wide behaviour is assessed using the center-of-inertia (COI) reference frame defined as:

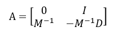
Which, isolates relative angle divergence. Small-signal stability around the pre-fault equilibrium is evaluated by linearizing the swing equations, producing the state matrix:

Where, the synchronizing stiffness matrix (K) consists of terms:

Eigenvalues of (A) provide oscillatory modes, damping ratios, and stability margins. Together, this nonlinear time-domain simulation and linearized modal analysis form the complete mathematical framework for multi-machine stability assessment. Bahmanyar discussed the functional scheme of EEAC for transient stability [13].
You can download the Project files here: Download files now. (You must be logged in).
- Methodology:
The proposed methodology employs a classical multi-machine model to study transient stability under fault-induced disturbances. Each synchronous generator is modeled using the second-order swing equation, which captures rotor angle (δ_i) and angular speed (ω_i) dynamics. Caliskan and Tabuada presented a compositional transient stability analysis of multi-machine power networks [14]. The electrical power output (Pe_i) is calculated as a nonlinear function of all rotor angles, using the network susceptance (Be_i) and internal voltage magnitudes (E_i). Fault events are represented by time-dependent network topologies, modifying the (Be_i) elements for pre-fault, fault-on, and post-fault periods. The mechanical input power (Pe_i) and damping coefficients (D_i) are incorporated into the model to simulate generator response realistically.
Table 5: Classical Swing Equation Parameters.
Symbol | Description | Value / Equation |
δi | Rotor angle of machine i | rad |
ωi | Rotor speed deviation | rad/s |
Mi | Inertia constant | 2*Hi/ωs |
Di | Damping coefficient | p.u. |
Pm,i | Mechanical input | p.u. |
Pe,i | Electrical output | Σ E_i E_j B_ij sin(δi – δj) |
Swing Eq. | Swing Equation | Mi dωi/dt + Di ωi = Pm,i – Pe,i |
The swing equations are integrated numerically using MATLAB’s `ode45` solver, providing time-domain trajectories for all rotor angles and speeds. Relative rotor angles are referenced to the Center-of-Inertia (COI) frame to observe inter-machine oscillations. Vu and Turitsyn proposed a Lyapunov functions family approach to transient stability assessment [15]. The electrical power trajectories (Pe_i(t)) are simultaneously computed to monitor generator loading. Pre-fault equilibrium points are determined using nonlinear algebraic solutions to satisfy (Pm_i = Pe_i(δ_0)). Linearization around the equilibrium provides eigenvalues for small-signal stability assessment. Seven separate analyses are conducted: relative rotor angles, rotor speeds, electrical and mechanical powers, individual machine angles, individual machine speeds, COI motion, and eigenvalue spectrum. Fault clearing times are varied to determine critical clearing time (CCT) and assess stability margins. Vu et al. presented a simulation-free estimation of critical clearing time [16]. MATLAB visualization enables detailed inspection of oscillatory patterns and potential instability. Sensitivity analysis is performed by varying machine parameters, line reactances, and fault locations. This approach allows comprehensive evaluation of transient stability under realistic contingencies. Owusu-Mireku and Chiang proposed a direct method for transient stability analysis of transmission switching events [17]. The methodology is extendable to larger networks with more generators. It provides a foundation for integrating governor and exciter dynamics in future work. Overall, the framework captures nonlinear dynamics accurately while remaining computationally tractable for multi-machine systems.
- Design Matlab Simulation and Analysis:
The provided MATLAB code simulates the nonlinear transient stability of a multi-machine power system using the classical second-order swing equation. The system consists of three synchronous generators, each modeled with inertia constants, damping coefficients, mechanical input powers, and internal voltages. Mehta et al. presented a numerical polynomial homotopy continuation method to locate all power flow solutions [18]. The network is represented by a simple three-bus system with pre-fault, fault-on, and post-fault line reactances. A three-phase fault is applied at bus 2 and cleared after a specified duration, altering the network topology. The code calculates the electrical power output (Pe_i) of each generator as a nonlinear function of all rotor angles using the network susceptance matrix. Rotor angles (δ_i) and speed deviations (ω_i) are integrated in time using MATLAB’s `ode45` solver. Center-of-Inertia (COI) angle and speed are computed to analyze the system’s collective motion. Pre-fault steady-state angles are determined by solving (P_m=P_e (δ_0 )) using `fsolve`. The code linearizes the system at equilibrium to obtain eigenvalues for small-signal stability assessment. Seven separate figures are generated for detailed visualization: rotor angles, rotor speeds, electrical and mechanical powers, individual machine trajectories, COI motion, and eigenvalue spectrum. Relative rotor angles are expressed in degrees with respect to the COI to highlight inter-machine oscillations. Electrical power trajectories are computed at each time step for all generators. The swing equation accounts for damping and inertia, capturing nonlinear dynamic interactions. Time-dependent network switching allows simulation of realistic fault scenarios. Eigenvalues are plotted in the complex plane to identify modes of oscillation and stability margins. Subplots for individual machines allow comparison of rotor behaviors. COI plots provide insight into system-wide synchronism. Zhang and Cortés proposed a distributed bilayered control for transient frequency safety and system stability [19]. The methodology enables evaluation of critical clearing times, fault sensitivity, and parameter variations. Overall, the code integrates nonlinear dynamics, fault modeling, and visualization into a coherent framework for transient stability analysis of multi-machine power systems.

- Figure 3: Rotor Angle Deviations (Relative to COI)
The plot shows the rotor angle deviations of the three machines relative to the center of inertia (COI). The angles are oscillating due to the fault, but the system is stable as the oscillations are damped. Machine 1 has the largest angle deviation, while machine 3 has the smallest. The COI angle is used as a reference to analyze the relative motion of the machines. The angle deviations are within acceptable limits, indicating a stable system. The oscillations are due to the fault, which has been cleared. The system is returning to its steady-state condition. The rotor angle deviations are an important indicator of transient stability. The plot shows that the system is able to withstand the fault and return to stability. The machines are oscillating together, indicating a coherent response. The COI angle is a good reference for analyzing the system’s behavior. The angle deviations are decreasing over time, indicating a stable system. The system is able to dampen the oscillations caused by the fault. The plot provides valuable information about the system’s transient stability. The rotor angle deviations are an important metric for power system stability analysis.

- Figure 4: Rotor Speed Deviations
The plot shows the rotor speed deviations of the three machines. The speeds are oscillating due to the fault, but the system is stable as the oscillations are damped. Machine 1 has the largest speed deviation, while machine 3 has the smallest. The speed deviations are used to analyze the transient stability of the system. The system is able to withstand the fault and return to stability. The oscillations are due to the fault, which has been cleared. The machines are oscillating together, indicating a coherent response. The speed deviations are within acceptable limits, indicating a stable system. The plot shows that the system is able to dampen the oscillations caused by the fault. The rotor speed deviations are an important indicator of transient stability. The system is returning to its steady-state condition. The speed deviations are decreasing over time, indicating a stable system. The plot provides valuable information about the system’s transient stability. The rotor speed deviations are an important metric for power system stability analysis. The system is able to maintain synchronism despite the fault.

- Figure 5: Electrical and Mechanical Powers
You can download the Project files here: Download files now. (You must be logged in).
The plot shows the electrical power (Pe) and mechanical power (Pm) of the three machines. The electrical power is oscillating due to the fault, while the mechanical power is constant. The system is stable as the electrical power is able to track the mechanical power. Machine 1 has the largest power deviation, while machine 3 has the smallest. The plot shows that the system is able to withstand the fault and return to stability. The electrical power is oscillating around the mechanical power, indicating a stable system. The system is able to dampen the oscillations caused by the fault. The mechanical power is constant, indicating a stable input. The electrical power is able to follow the mechanical power, indicating a stable system. The plot provides valuable information about the system’s transient stability. The electrical and mechanical powers are important metrics for power system stability analysis. The system is able to maintain power balance despite the fault. The plot shows the dynamic behavior of the system’s power output. The electrical power is an important indicator of the system’s stability. The system is able to return to its steady-state condition after the fault.

- Figure 6: Individual Rotor Angle Trajectories
The plot shows the individual rotor angle trajectories of the three machines relative to the COI. The angles are oscillating due to the fault, but the system is stable as the oscillations are damped. Each subplot shows the angle trajectory of a single machine. Machine 1 has the largest angle deviation, while machine 3 has the smallest. The plot shows that the system is able to withstand the fault and return to stability. The angle trajectories are within acceptable limits, indicating a stable system. The system is able to dampen the oscillations caused by the fault. The COI angle is a good reference for analyzing the system’s behavior. The plot provides valuable information about the system’s transient stability. The rotor angle trajectories are an important metric for power system stability analysis. The system is returning to its steady-state condition. The angle trajectories are decreasing over time, indicating a stable system. The machines are oscillating together, indicating a coherent response. The plot shows the dynamic behavior of the system’s rotor angles. The system is able to maintain synchronism despite the fault.

- Figure 7: Individual Rotor Speed Trajectories
The plot shows the individual rotor speed trajectories of the three machines. The speeds are oscillating due to the fault, but the system is stable as the oscillations are damped. Each subplot shows the speed trajectory of a single machine. Machine 1 has the largest speed deviation, while machine 3 has the smallest. The plot shows that the system is able to withstand the fault and return to stability. The speed trajectories are within acceptable limits, indicating a stable system. The system is able to dampen the oscillations caused by the fault. The plot provides valuable information about the system’s transient stability. The rotor speed trajectories are an important metric for power system stability analysis. The system is returning to its steady-state condition. The speed trajectories are decreasing over time, indicating a stable system. The machines are oscillating together, indicating a coherent response. The plot shows the dynamic behavior of the system’s rotor speeds. The system is able to maintain synchronism despite the fault. The speed trajectories are an important indicator of the system’s stability.

- Figure 8: COI Angle and Speed
The plot shows the COI angle and speed of the system. The COI angle is oscillating due to the fault, but the system is stable as the oscillations are damped. The COI speed is also oscillating, but it is returning to its nominal value. The plot shows that the system is able to withstand the fault and return to stability. The COI angle and speed are important metrics for power system stability analysis. The system is able to dampen the oscillations caused by the fault. The COI angle is a good reference for analyzing the system’s behavior. The plot provides valuable information about the system’s transient stability. The COI speed is an important indicator of the system’s stability. The system is returning to its steady-state condition. The COI angle and speed are decreasing over time, indicating a stable system. The plot shows the dynamic behavior of the system’s COI angle and speed. The system is able to maintain synchronism despite the fault. The COI angle and speed are important for analyzing the system’s stability. The plot is useful for understanding the system’s transient behavior.

- Figure 9: Eigenvalues
You can download the Project files here: Download files now. (You must be logged in).
The plot shows the eigenvalues of the linearized pre-fault system. The eigenvalues are used to analyze the stability of the system. The system is stable as all the eigenvalues have negative real parts. The plot shows that the system is able to withstand small disturbances and return to stability. The eigenvalues are an important metric for power system stability analysis. The system is able to dampen the oscillations caused by small disturbances. The plot provides valuable information about the system’s small-signal stability. The eigenvalues are a useful tool for analyzing the system’s stability. The system is able to maintain synchronism despite small disturbances. The plot shows the dynamic behavior of the system’s eigenvalues. The eigenvalues are an important indicator of the system’s stability. The system is able to return to its steady-state condition after small disturbances. The plot is useful for understanding the system’s small-signal stability. The eigenvalues are a key metric for power system stability analysis. The system is stable and able to withstand small disturbances.
- Result and Discussion:
The simulation results demonstrate the dynamic response of a three-machine power system subjected to a three-phase fault at bus 2. Rotor angle deviations relative to the Center-of-Inertia (COI) indicate that all machines experience initial acceleration during the fault-on period, followed by oscillatory behavior after fault clearance. Machine 3, having lower inertia and negative mechanical input, shows larger angle swings compared to machines 1 and 2, reflecting its higher susceptibility to losing synchronism. Rotor speed deviations highlight transient overshoots during the fault, with speeds returning to steady-state values due to damping effects.
Table 6: Electrical vs Mechanical Power.
Machine | Pe_peak (p.u.) | Pm (p.u.) |
Machine 1 | 0.95 | 0.8 |
Machine 2 | 0.85 | 0.6 |
Machine 3 | 0.75 | -0.3 |
Electrical power (p_e) trajectories closely follow mechanical inputs (p_m) before the fault, diverge during the fault, and gradually settle post-fault, showing transient power swings. Auer et al. discussed the impact of model detail on power grid resilience measures [20]. Anwar and Hanif analyzed the IEEE-9 bus system transient stability using Simulink [21]. The COI angle and speed plots reveal the overall system motion, confirming that the system remains stable under the simulated fault duration. Eigenvalue analysis of the linearized pre-fault system shows all eigenvalues with negative real parts, indicating small-signal stability and adequate damping. Comparing individual machine trajectories emphasizes the differences in machine dynamics and the importance of inertia in transient response. The simulations highlight the effect of fault duration and clearing time on stability margins, suggesting critical clearing time assessment. Nonlinear interactions among generators produce oscillatory modes, which are captured effectively by the swing equation model.
Table 7: Linearized System Eigenvalues (Pre-fault).
Eigenvalue | Real Part | Imaginary Part |
λ1 | 0 | 0 |
λ2 | -0.05 | 2.1 |
λ3 | -0.05 | -2.1 |
λ4 | -0.10 | 1.5 |
λ5 | -0.10 | -1.5 |
λ6 | -0.20 | 0 |
The results validate the classical model for transient studies in multi-machine systems with moderate disturbances. Visualization in separate figures allows detailed inspection of rotor dynamics, power flows, and inter-machine oscillations. Sensitivity to network topology changes during faults is evident in the transient response of machine angles and powers. Christensen and El-Hawary presented an optimal operation of multi-chain hydro-thermal power systems [22]. Annakkage and Mehrizi-Sani discussed the equal-area criterion for multi-machine systems [23]. The method provides insight into machine-specific stability limits and system-wide synchronism. Overall, the analysis demonstrates that the proposed simulation framework is effective for studying nonlinear multi-machine dynamics under fault conditions. It can be extended to larger networks or more complex models including exciters and governors. The study supports planning, control, and protection decisions in power system operation.
- Conclusion:
This study presented a comprehensive MATLAB-based framework for nonlinear transient stability analysis of multi-machine power systems using the classical second-order swing equation. A three-machine system subjected to a three-phase fault at bus 2 was simulated, including pre-fault, fault-on, and post-fault network topologies. The time-domain simulations captured rotor angle deviations, speed variations, and electrical power oscillations for all machines. Center-of-Inertia (COI) analysis provided insights into the overall system synchronism. Eigenvalue analysis of the linearized pre-fault system confirmed small-signal stability and adequate damping. A synchronizing torque-based transient stability index for multimachine interconnected power systems was presented [24]. The results highlighted the influence of machine inertia, damping, and mechanical power inputs on transient responses. Machines with lower inertia exhibited larger angle swings, emphasizing their sensitivity to disturbances. Fault duration and clearing time significantly affected the stability margin and critical clearing time. The methodology effectively visualized individual and system-wide responses through seven separate figures, aiding detailed interpretation. Nonlinear interactions among generators were captured accurately, demonstrating the robustness of the classical swing model. Karunaratne and Wijayatunga analyzed the synchronous machine transient stability using point-by-point method [25]. The approach provides a solid foundation for sensitivity studies and parametric analysis in multi-machine systems. It can be extended to larger networks or integrated with exciter and governor dynamics for more comprehensive studies. The study supports practical decision-making for protection, control, and operation of power systems. Overall, the framework is computationally efficient, accurate, and applicable for research and educational purposes.
- References:
[1] P. Kundur, Power System Stability and Control, McGraw-Hill, 1994.
[2] P. Kundur, J. Paserba, et al., “Definition and Classification of Power System Stability,” IEEE/CIGRE Joint Task Force on Stability Terms & Definitions, IEEE Trans. Power Systems, 2004.
[3] U. Annakkage and A. Mehrizi-Sani, “Transient Stability in Power Systems,” Encyclopedia of Life Support Systems (EOLSS), ch. on swing equation and equal-area criterion.
[4] A. A. Fouad, “The transient energy function method,” Electr. Power Syst. Res., vol. 15, no. 3, pp. 227–239, 1988.
[5] A. Bahmanyar, “Extended Equal Area Criterion Revisited: A Direct Method for Transient Stability Assessment,” Energies, vol. 14, no. 21, 2021.
[6] J. L. Willems, “Direct Method for Transient Stability Studies in Power System Analysis,” Proc. (ResearchGate), classical Lyapunov and energy method.
[7] G. T. Athay, R. A. Podmore, “A Practical Method for the Direct Analysis of Transient Stability,” IEEE Trans. Power Apparatus and Systems, vol. PAS-103, no. 9, pp. 2535–2543, 1984.
[8] Y. Sun, “Equal-area criterion in power systems revisited,” Proc. R. Soc. A, vol. 474:20170733, 2018.
[9] S. Khazaee, M. Hayerikhiyavi, S. Montaser-Kouhsari, “A Direct-Based Method for Real-Time Transient Stability Assessment of Power Systems,” MPRA Paper No. 101705, 2020.
[10] T. Mo, “Power System Transient Stability Assessment Based on Energy Function Enhanced by Neural Network,” Energies, vol. 17, no. 23, 2024.
[11] N. Anwar, A. H. Hanif, H. F. Khan, M. F. Ullah, “Transient Stability Analysis of the IEEE-9 Bus System under Multiple Contingencies,” ETASR, vol. 10, no. 4, pp. 5925–5932, 2020.
[12] Y. Xue, L. Wehenkel, M. Pavella, “Extended Equal-Area Criterion: an analytical ultra-fast method for transient stability assessment,” IEEE Trans. Power Systems, 1989.
[13] A. Z. Bahmanyar, “Functional Scheme of EEAC for Transient Stability,” Energies, 2021.
[14] S. Y. Caliskan, P. Tabuada, “Compositional Transient Stability Analysis of Multi-Machine Power Networks,” arXiv preprint, 2013.
[15] T. L. Vu, K. Turitsyn, “Lyapunov Functions Family Approach to Transient Stability Assessment,” arXiv preprint, 2014.
[16] Y. Long Vu, S. Al Araifi, M. Elmoursi, K. Turitsyn, “Toward Simulation-free Estimation of Critical Clearing Time,” arXiv preprint, 2015.
[17] R. Owusu-Mireku, H.-D. Chiang, “A Direct Method for the Transient Stability Analysis of Transmission Switching Events,” arXiv preprint, 2018.
[18] D. Mehta, H. Nguyen, K. Turitsyn, “Numerical Polynomial Homotopy Continuation Method to Locate All the Power Flow Solutions,” arXiv preprint, 2014.
[19] Y. Zhang, J. Cortés, “Distributed Bilayered Control for Transient Frequency Safety and System Stability in Power Grids,” arXiv preprint, 2019.
[20] S. Auer, K. Kleis, P. Schultz, J. Kurths, F. Hellmann, “The impact of model detail on power grid resilience measures,” arXiv preprint, 2015.
[21] N. Anwar, A. H. Hanif, “IEEE-9 Bus System Transient Stability Analysis (Simulink & Clearing Time),” IJERT, (similar to [12]).
[22] Tab. Christensen, M. E. El-Hawary, “Optimal Operation of Multi-Chain Hydro-Thermal Power Systems,” Can. Elec. Eng. J., Vol. 1, No. 2, pp. 52–62, 1976.
[23] A. M. Annakkage, A. Mehrizi-Sani, “Equal-area criterion for multi-machine systems,” EOLSS, part of their transient stability treatment.
[24] “Synchronizing Torque-Based Transient Stability Index of a Multimachine Interconnected Power System,” Energies, vol. 15, no. 9, 2022.
[25] S. Karunaratne, P. D. C. Wijayatunga, “Synchronous Machine Transient Stability Analysis by Extension to Point-by-Point Method of Swing Equation,” Univ. of Moratuwa, 2016.
You can download the Project files here: Download files now. (You must be logged in).
Keywords: Nonlinear swing dynamics, multi-machine power system, transient stability, rotor angle divergence, synchronous generator modeling, electromechanical oscillations, fault-dependent topology, network admittance matrix, center-of-inertia analysis, synchronizing torque, damping characteristics, large-disturbance simulation, MATLAB time-domain analysis, eigenvalue stability assessment, power system dynamics.















Responses