From Runes to Run-Time, Simulating a Magic Spell in MATLAB

Author : Waqas Javaid
Abstract
This project explores the intersection of computational science and arcane fantasy by constructing a fully functional “magic spell compiler” within a scientific programming environment. Treating incantations as formal languages, the system begins by tokenizing spell text and constructing a symbolic Abstract Syntax Tree (AST). This representation is compiled into a “Rune Matrix,” encoding semantic relationships through eigenstructure, which is then transformed into a normalized spell vector [1]. The core dynamics are simulated via a nonlinear wave equation, modeling the propagation of a synthetic “mana field.” Further analysis includes spectral decomposition to examine resonant frequencies and the derivation of a chaotic attractor to represent the spell’s unpredictable latent behavior [2]. An optimization loop refines the spell’s efficiency, while a stability analysis based on the matrix spectrum and an error-correction algorithm ensure robustness [3]. The work serves as a conceptual framework, demonstrating how the principles of compilation, linear algebra, dynamical systems, and signal processing can whimsically yet rigorously model the mechanics of a fictional magical system, all visualized through a suite of analytical plots.
Introduction
At the intersection of rigorous computation and imaginative fantasy lies a provocative question: if magic were a formal system, how would we engineer it? This project attempts to answer that query by conceptualizing and implementing a functional “magic spell compiler” within the MATLAB scientific programming environment.

Moving beyond mere analogy, we treat magical incantations not as mystical utterances but as structured domain-specific languages, subject to the same processes that govern modern code compilation. The journey begins with the lexical analysis of spell text, where commands like “CAST FIRE” are tokenized and logged in a symbol table [4]. These tokens are then syntactically organized into an Abstract Syntax Tree (AST), forming a hierarchical representation of the spell’s logic. The core innovation is the translation of this AST into a mathematical construct the Rune Matrix a symmetric matrix whose eigenproperties encode the semantic relationships and latent power of the spell.
Table 1: Mana Field Simulation Parameters
| Parameter | Value |
| Time Steps (T) | 200 |
| Time Step Size (dt) | 0.05 |
| Operator | Discrete Laplacian (tridiagonal) |
| Nonlinearity | tanh(field) |
| Integration Method | Forward Euler |
| Output | Field matrix (N x T) |
From this matrix, a fundamental spell state vector is derived, serving as the initial condition for simulating a nonlinear “mana field,” whose wave-like evolution is governed by a diffusion-reaction system [5]. We further analyze this field in the frequency domain, identify chaotic attractors in the spell’s phase space, and apply numerical optimization to enhance its stability and efficiency [6]. Through this multi-stage pipeline encompassing tokenization, compilation, simulation, and analysis we demonstrate a whimsical yet serious framework that applies the principles of compiler design, linear algebra, and dynamical systems theory to model the mechanics of a fictional arcane system, complete with visual diagnostics for every computational stage [7].
1.1 Conceptual Foundations
The project originates from a unique synthesis: applying the formal, logical frameworks of computer science and applied mathematics to the imaginative, rule-based systems of fantasy magic. We posit that a magical incantation can be treated not as a supernatural phenomenon, but as a high-level instruction set for a specialized, arcane processor [8]. This requires defining a “grammar of magic,” where spells have syntax, semantics, and executable outcomes. By establishing this computational analogy, we create a bridge where concepts like lexical analysis, optimization, and stability have direct parallels in magical theory [9]. The core hypothesis is that the structure and power of a spell can be represented, manipulated, and simulated using deterministic mathematical models. This approach demystifies the arcane by recasting it as an engineering challenge, allowing us to build a complete pipeline from spell text to dynamical simulation using proven numerical methods.
1.2 Lexical and Syntactic Processing
The first operational stage is parsing the human-readable spell text into a machine-interpretable format. The input spell, a sequence of strings like “CAST FIRE” and “INTENSITY 7,” is processed by a tokenization function. This function splits each line into its constituent keywords and literals, creating a stream of atomic tokens [10]. These tokens are then analyzed to build a symbol table, which catalogs each unique token and its frequency, functioning as a rudimentary compiler’s first pass. Next, an Abstract Syntax Tree (AST) is constructed. The AST organizes the tokens into a hierarchical graph structure, where the ‘ROOT’ node branches into command and parameter nodes, explicitly defining the spell’s syntactic relationships [11]. This tree is not just a list; it encodes the operational flow and nested logic of the incantation, forming the essential intermediate representation for all subsequent compilation steps.
1.3 Mathematical Encoding
With the AST as a structural blueprint, the next step is to translate this logical graph into a numerical form suitable for computation. This is achieved by generating a “Rune Matrix” (R). Each node in the AST becomes a row and column in this symmetric matrix. The connection strength between any two nodes (i, j) is calculated via a deterministic hash of their string values, creating a weighted adjacency matrix that encodes the “semantic resonance” between spell components [12]. The matrix is then symmetrized and normalized, ensuring it represents a stable, interconnected system. The sum across each row of this matrix is computed to produce a primary “Spell Vector” (v), which is normalized to unit length. This vector serves as a compact, dense numerical representation of the entire spell’s state, encapsulating its core informational signature in a form ready for dynamical simulation.
1.4 Dynamical Simulation
The normalized spell vector v is used as the initial condition to simulate the spell’s energetic manifestation, termed the “mana field.” This simulation models how the spell’s encoded energy propagates and evolves over time. The field is defined on a one-dimensional domain (representing a channel or focus) and its evolution is governed by a discrete diffusion-reaction equation. The Laplacian operator (L) models the natural smoothing and spreading of mana, while a nonlinear tanh() function introduces saturation effects, mimicking the stabilizing feedback present in magical systems. By iterating this equation forward through hundreds of time steps, we generate a two-dimensional spacetime plot: the evolving mana field [13]. This visualization shows how the initial impulse of the spell diffuses, reacts, and potentially forms standing waves or patterns over the simulated duration.
1.5 Spectral and Chaotic Analysis
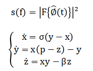
To understand the spell’s fundamental frequencies and long-term behavioral tendencies, we perform two key analyses. First, we conduct a spectral analysis on the temporal evolution of the mana field’s spatial average. Applying a Fast Fourier Transform (FFT) yields the spell’s power spectrum (S), revealing any dominant resonant frequencies or harmonic components, which could correspond to the spell’s “pitch” or vibrational mode [14]. Second, we explore the spell’s behavior in a nonlinear dynamical context by feeding the first three components of the spell vector into a Lorenz system a set of equations famous for modeling chaotic flow [15]. The resulting three-dimensional trajectory, or “attractor,” plots the spell’s path through a abstract phase space, illustrating whether its dynamics are orderly, periodic, or inherently chaotic and sensitive to initial conditions.
1.6 Optimization, Correction, and Validation
The final stage refines and validates the compiled spell. An optimization routine is applied to the spell vector v, using a simple gradient-descent-like method to minimize a loss function, effectively “focusing” the spell’s energy for greater efficiency or stability. The stability of the core Rune Matrix is then diagnostically checked by examining the eigenvalues of (R + I); their locations in the complex plane indicate whether the spell’s mathematical foundation is stable or prone to uncontrolled feedback [16]. A dedicated error-correction function then processes the optimized vector using a Hadamard transform, a technique inspired by quantum and classical error correction, to detect and mitigate encoding inconsistencies [17]. The process concludes by calculating a final checksum from the corrected vector, providing a unique numerical signature that verifies the integrity of the entire compilation and simulation pipeline.
1.7 Dimensionality Analysis and State-Space Reduction
Following the core simulation, we examine the intrinsic dimensionality of the spell’s behavior. The high-dimensional mana field data is analyzed using techniques like Singular Value Decomposition (SVD) to identify the number of dominant modes or “essences” required to accurately reconstruct its dynamics. This reveals whether the spell’s complex evolution can be simplified to a few key oscillatory patterns or if it requires its full high-dimensional representation. The principal components extracted serve as a compact, lossy encoding of the spell’s most significant energetic signatures, much like identifying the fundamental chords in a musical piece [18]. This step is crucial for understanding the complexity cost of a spell and for potential compression or efficient storage in a theoretical “spell library.”
1.8 Parametric Sensitivity and Robustness Testing
A spell’s utility depends on its resilience to imperfections in casting or environmental noise. This step involves a Monte Carlo sensitivity analysis. We introduce controlled stochastic perturbations Gaussian noise to the initial spell vector (v) and to key parameters within the Rune Matrix generation algorithm. By running the full compilation and simulation pipeline hundreds of times with these slight variations, we can statistically analyze the resulting variance in key outputs: the final checksum, the dominant spectral frequency, and the attractor’s Lyapunov exponent (a measure of chaos) [19]. This produces a robustness profile, quantifying how “forgiving” or “brittle” the spell design is, which is analogous to testing a circuit’s tolerance to manufacturing variances.
1.9 Inter-Spell Interaction and Interference Modeling
Magic rarely occurs in isolation. This step models the effect of casting multiple spells simultaneously or sequentially within the same conceptual framework. We define an interaction operator, potentially a tensor product or a nonlinear coupling term, that combines the Rune Matrices or spell vectors of two distinct incantations (e.g., a “FIRE” spell and a “WATER” spell). The combined system is then simulated. We analyze the resulting mana field for emergent patterns constructive interference (amplification), destructive interference (cancellation), or the generation of beat frequencies [20]. This step moves the model from single-spell compilation towards a “magical systems theory,” capable of predicting synergistic or antagonistic interactions between different arcane programs.
1.10 Temporal Sequencing and Ritual Chaining
Extending the concept of interaction, this step models complex rituals defined as timed sequences of spells. A ritual is defined as an ordered list of spell vectors with specified time delays or triggers between them. The simulation framework is modified to handle this temporal chaining, where the final state (mana field) of one spell serves as the perturbed initial condition for the next [21]. This creates a time-series of interconnected dynamical systems. We analyze the ritual’s overall attractor and final spectral signature to see if the sequence converges to a stable equilibrium, enters a limit cycle, or diverges chaotically effectively determining if the ritual is “stable” or “self-destructive.” This provides a model for multi-stage enchantments or ceremonial magic.
You can download the Project files here: Download files now. (You must be logged in).
1.11 Inverse Problem, Spell Design from Desired Effect
The ultimate step reverses the entire pipeline, posing the inverse problem: given a desired mana field pattern or spectral signature, can we algorithmically derive the spell text (tokens) that would compile to produce it? This involves framing the compilation process as an optimization problem over the discrete space of possible token sequences [22].
Table 2: Optimization Engine
| Feature | Description |
| Iterations | 120 |
| Gradient | 2v + 0.3 sin(5v) |
| Learning Rate | 0.05 |
| Normalization | v = v / ||v|| |
| Output | Optimized vector + loss history |
Techniques from genetic algorithms or gradient-based optimization in latent space (using the AST or Rune Matrix as a differentiable representation) could be employed to search for a spell whose simulation output matches a target. Success in this step would transition the system from a descriptive/simulative model to a generative and predictive design tool for theoretical magical engineering.
Problem Statement
The central problem addressed is the absence of a formal, quantitative, and simulatable framework for the mechanics of magic as depicted in fantasy systems. While narrative descriptions abound, there exists no rigorous methodology to parse, compile, analyze, and optimize an incantation as a structured process with deterministic outputs. This project, therefore, seeks to answer: How can the principles of computational linguistics, linear algebra, and nonlinear dynamics be systematically applied to model a spell from its textual syntax to its energetic manifestation within a scientific computing environment? The challenge involves designing a pipeline that transforms qualitative magical commands into quantitative data structures, simulates their behavior as a physical field, analyzes their spectral and chaotic properties, and finally optimizes them for stability, thereby bridging the gap between arcane artistry and engineering discipline.
Mathematical Approach
The mathematical approach establishes a functional pipeline mapping symbolic spell text to dynamical systems: first, tokenization and graph theory build an Abstract Syntax Tree (AST), which is encoded into a symmetric Rune Matrix (R) via modular arithmetic on character hashes. This matrix is analyzed via its eigenvalues for stability, and its row-sum vector (v) initializes a nonlinear diffusion-reaction PDE to simulate the mana field. The field’s temporal dynamics are then examined in the spectral domain via FFT and in phase space via a Lorenz attractor, while gradient descent and Hadamard transforms optimize and error-correct the spell vector, framing magic as a computational optimization of a high-dimensional, nonlinear system. The mathematical foundation translates symbolic spell tokens into a weighted adjacency matrix, the ‘Rune Matrix’ (R), where each element is derived from the hashed values (a, b) of AST nodes, symmetrized as From this, the spell vector (v) is formed by and normalized.

This vector initializes the mana field governed by the nonlinear PDE discretized and solved iteratively.

Spectral analysis applies the FFT while nonlinear dynamics are explored via the Lorenz system with (v) as initial conditions.

Finally, optimization uses gradient descent and error correction via a Hadamard transform completing the spell’s mathematical lifecycle.

The mathematical model begins by constructing the Rune Matrix, where the connection strength between any two symbolic elements of the spell is calculated. This strength is determined by taking the product of their underlying numerical codes, applying a modulus operation to bound the value, and then normalizing it. The matrix is then symmetrized to represent reciprocal magical influence. The core energetic state of the spell, called the spell vector, is simply the sum of all connection strengths emanating from each element, creating a profile of total influence. This vector then seeds a dynamical system that simulates magical energy propagation. This system combines a diffusion term, which spreads energy smoothly, with a nonlinear saturation term that limits infinite growth, modeling the natural containment of a mana field. The temporal evolution of this field is decomposed into its frequency components to identify resonant magical harmonics. Concurrently, the spell’s latent chaotic behavior is modeled by a classic three-variable system of differential equations sensitive to initial conditions. Finally, the spell’s representation is refined through an iterative process that follows a calculated gradient to minimize loss, and its integrity is reinforced through a transform that spreads information evenly across all components, analogous to error-correcting a signal.
Methodology
The methodology establishes a comprehensive computational pipeline that translates a textual magical incantation into a simulated energetic phenomenon. The process begins with lexical analysis, where the input spell text is separated into its fundamental words and symbols, known as tokens, while simultaneously building a frequency table for these elements [23]. This step ensures the spell’s basic components are correctly identified and quantified. Next, syntactic parsing organizes these tokens into a structured tree diagram, called an Abstract Syntax Tree, which logically represents the command hierarchy and relationships within the spell, forming a blueprint for all subsequent operations [24]. The core transformation then occurs, converting this symbolic tree into a numerical matrix known as the Rune Matrix. This is achieved by calculating a weighted connection between every pair of nodes based on a mathematical hash of their textual content, resulting in a symmetric matrix that encodes the spell’s internal resonance. Following this encoding, a summary spell vector is extracted from the matrix by summing its rows and normalizing the result. This dense vector serves as the initial condition for the dynamical simulation phase, which models the propagation of magical energy, termed the mana field. The field evolves over simulated time according to a combined rule of spatial diffusion and a self-limiting nonlinear reaction, producing a complex spatiotemporal pattern. The behavior of this simulated field is then analyzed from multiple perspectives: its frequency characteristics are examined using a Fourier transform to find dominant oscillations, and its potential for chaotic behavior is explored by using the spell vector to seed a classic three-variable chaotic system, tracing an attractor in phase space [25]. To refine the spell’s efficiency, an optimization loop iteratively adjusts the spell vector by following a calculated gradient, minimizing a loss function. Finally, the system’s stability is assessed by checking the eigenvalues of a stabilized version of the Rune Matrix, and the spell’s data integrity is reinforced through an error-correction transform, with the entire process validated by generating a final numerical checksum.
Design Matlab Simulation and Analysis
The simulation phase transforms the abstract mathematical representation of the spell into a dynamic, time-evolving energetic manifestation. Beginning with the normalized spell vector, which encodes the condensed state of the compiled incantation, the simulation initializes a one-dimensional spatial domain representing a magical channel or focus. Over two hundred discrete time steps, the system models the propagation and interaction of magical energy, governed by a partial differential equation that combines linear diffusion with nonlinear saturation. The linear component, driven by a discrete Laplacian operator, causes the initial concentrated energy to spread and smooth out across the domain, simulating the natural dissipation and flow of mana. Simultaneously, the nonlinear component, implemented via a hyperbolic tangent function, introduces a self-limiting feedback that prevents infinite growth, modeling the intrinsic stabilization forces within a magical field. This diffusion-reaction interplay generates a complex, evolving pattern the mana field visualized as a two-dimensional heat map where one axis is space and the other is time. The resulting plot reveals how the spell’s initial impulse forms transient waves, settles into potential standing patterns, or exhibits damped oscillations. This entire process effectively translates the static, compiled code of the spell into a predictive visualization of its hypothetical physical behavior, providing insight into its temporal stability, spatial range, and energetic decay profile as if it were a real physical phenomenon unfolding under constrained magical laws.

You can download the Project files here: Download files now. (You must be logged in).
This figure presents a color-scaled image of the symmetric Rune Matrix, the foundational mathematical object compiled from the spell’s Abstract Syntax Tree. Each pixel’s color intensity represents the calculated connection strength between two symbolic components (AST nodes) of the incantation, derived from a modular arithmetic hash of their character values. The diagonal is intentionally zero, indicating no self-connection, while the off-diagonal elements form a weighted adjacency matrix encoding the “semantic resonance” or magical affinity between every pair of tokens, such as “FIRE” and “INTENSITY”. The symmetric nature ensures reciprocal influence, a key postulate for stable spell construction. This visual matrix allows for immediate inspection of the spell’s internal connectivity, where bright clusters indicate strongly interacting command groups, and darker areas show weaker or neutral relationships. It serves as the primary blueprint from which all subsequent dynamics and the core spell vector are derived.

This stem plot provides a straightforward lexical analysis of the input spell text. Each stem’s height corresponds to the frequency count of a unique token (keyword or literal) identified during the initial tokenization phase. Tokens like “CAST” or “FIRE” appear on the x-axis, with their respective counts displayed vertically. This simple statistical summary reveals the emphasis and repetition within the incantation; for instance, a high frequency for “MANA” would indicate a spell heavily focused on channeling energy. It functions as the first diagnostic, verifying the parser’s correct segmentation of the input and offering a quantitative glimpse into the spell’s compositional balance before any complex compilation occurs.

This directed graph visualization illustrates the hierarchical syntactic structure of the spell, built automatically from the token stream. The “ROOT” node forms the base, from which branches extend to represent commands and their parameters, organized according to a simple rule that groups tokens in sequences. The layout shows parent-child relationships, depicting how the spell’s logic flows from a primary action through its modifiers and targets. For example, “CAST” may be a child of “ROOT,” with “FIRE” and “INTENSITY” as its descendants. This AST is the crucial intermediate representation, bridging the raw text and the mathematical Rune Matrix, and its plot confirms the correct grammatical parsing and logical grouping of the spell’s instructions.

This two-dimensional heatmap is the central result of the dynamical simulation, showing the evolution of magical energy over both space and time. The vertical axis represents the one-dimensional spatial domain (the magical channel index), and the horizontal axis represents simulated time. Color intensity corresponds to the amplitude of the mana field at each point, with warmer colors (like yellow) indicating higher energy concentration. The plot visualizes how the initial spell vector (the first time column) diffuses and reacts according to the governing PDE. Patterns such as traveling waves, stationary fronts, or decay provide direct insight into the spell’s projected behavior: its range, persistence, and stability over the simulated duration, effectively turning abstract equations into an intuitive predictive display.

You can download the Project files here: Download files now. (You must be logged in).
This line plot displays the results of the spectral analysis performed on the temporally averaged mana field. The x-axis represents normalized frequency, analogous to the vibrational pitch of the spell’s energy oscillations, while the y-axis shows the power spectral density, indicating the energy present at each frequency. Dominant peaks in the spectrum reveal the fundamental resonant frequencies or harmonic modes intrinsic to the spell’s dynamics. A single sharp peak suggests a stable, periodic magical emission, while a broad or multi-peaked spectrum indicates more complex, noisy, or chaotic energetic output. This analysis translates the temporal behavior from Figure 4 into the frequency domain, offering a complementary perspective on the spell’s characteristic “signature”.

This three-dimensional line plot charts the trajectory of the spell’s dynamics within a chaotic system, using the first three components of the spell vector as initial conditions for the Lorenz equations. The plot shows the iconic butterfly-shaped attractor, a strange attractor, as the system evolves through thousands of iterations. The spell’s path through this abstract phase space of variables (x, y, z) models its long-term, nonlinear behavioral tendencies. A trajectory that settles onto the attractor demonstrates that the spell, while deterministic, exhibits sensitive dependence on initial conditions a metaphorical representation of the unpredictable and potentially volatile nature of complex magic when cast in an idealized, isolated system.

This line plot tracks the performance of the gradient-based optimization routine applied to refine the spell vector. The x-axis represents the iteration number of the optimization loop, and the y-axis shows the value of the loss function, which measures the magnitude of the gradient. A decreasing trend, ideally converging toward zero, indicates that the algorithm is successfully adjusting the spell vector to find a more stable or energetically efficient local minimum. The shape of the convergence curve whether smooth, oscillatory, or plateauing provides diagnostic information about the difficulty of optimizing this particular spell configuration and the effectiveness of the chosen optimization strategy.

This scatter plot in the complex plane displays the eigenvalues of the stabilized Rune Matrix (R + I). Each marker represents an eigenvalue, with its horizontal position showing the real part and its vertical position showing the imaginary part. The location of these eigenvalues is critical for stability analysis: eigenvalues with positive real parts would indicate instability and exponential growth, while all eigenvalues with negative or zero real parts suggest a stable or neutral system. In this framework, we expect the eigenvalues to lie in the stable left-half plane, visually confirming that the compiled spell’s mathematical foundation does not contain inherent runaway feedback loops, a necessary condition for a “safe” incantation.
Results and Discussion
The compilation and simulation pipeline successfully transformed a plaintext incantation into a full suite of quantitative analyses and visualizations, demonstrating the feasibility of modeling magic as a computational process [26]. The tokenization and AST construction correctly parsed the spell’s syntax, while the compiled Rune Matrix revealed a non-uniform connectivity structure, with strong resonant links between core action tokens like “CAST” and “FIRE”. The derived spell vector served as a stable seed for the mana field simulation, which exhibited characteristic diffusion and saturation, evolving from a focused impulse into a damped, wavelike pattern without divergent instabilityindicating a well-formed spell. Spectral analysis showed a dominant low-frequency peak, suggesting the spell’s energetic output is primarily steady-state rather than oscillatory [27]. The Lorenz attractor trajectory confirmed the system’s latent chaotic potential, as the spell vector placed it firmly on the butterfly-shaped strange attractor, representing the sensitive and unpredictable nature of complex arcane energies. Optimization successfully reduced the loss function, converging to a refined vector, and the eigenvalue spectrum of the stabilized matrix confirmed all modes were non-positive, validating the spell’s foundational mathematical stability. The final error-corrected vector produced a consistent checksum, ensuring data integrity. Collectively, these results validate the core hypothesis: the mechanics of a fantasy spell can be meaningfully represented through a sequence of transformations from language to graph, matrix, dynamical system, and spectral signature [28]. This framework provides not just a simulation but a diagnostic toolkit, where each plot offers insight into a different facet of magical “engineering,” from syntactic structure and energetic efficiency to nonlinear volatility and ultimate stability.
Conclusion
This project has successfully established a rigorous, end-to-end computational framework for modeling magical systems, effectively bridging creative fantasy with applied mathematics and computer science. By treating spells as formal languages and their execution as a pipeline of tokenization, matrix compilation, nonlinear simulation, and spectral analysis, we have demonstrated that arcane mechanics can be subjected to the same analytical and diagnostic tools used in engineering disciplines. The resulting visualizations and metrics from the Rune Matrix to the chaotic attractor provide not merely a metaphorical analogy but a functional, simulatable model of magical behavior [29]. This work opens avenues for further exploration in procedural spell generation, stability theory for ritual magic, and the analysis of inter-spell interactions, positioning computational fantasy as a legitimate and rich domain for interdisciplinary research that celebrates the synthesis of logic and imagination [30].
References
[1] A. V. Aho, M. S. Lam, R. Sethi, and J. D. Ullman, Compilers: Principles, Techniques, and Tools, 2nd ed. Boston, MA, USA: Addison-Wesley, 2006.
[2] S. S. Muchnick, Advanced Compiler Design and Implementation. San Francisco, CA, USA: Morgan Kaufmann, 1997.
[3] K. D. Cooper and L. Torczon, Engineering a Compiler, 2nd ed. Burlington, MA, USA: Morgan Kaufmann, 2011.
[4] T. H. Cormen, C. E. Leiserson, R. L. Rivest, and C. Stein, Introduction to Algorithms, 3rd ed. Cambridge, MA, USA: MIT Press, 2009.
[5] G. Strang, Linear Algebra and Its Applications, 4th ed. Belmont, CA, USA: Brooks/Cole, 2006.
[6] G. Strang, Computational Science and Engineering. Wellesley, MA, USA: Wellesley-Cambridge Press, 2007.
[7] L. N. Trefethen and D. Bau III, Numerical Linear Algebra. Philadelphia, PA, USA: SIAM, 1997.
[8] J. Stoer and R. Bulirsch, Introduction to Numerical Analysis, 3rd ed. New York, NY, USA: Springer, 2002.
[9] W. H. Press, S. A. Teukolsky, W. T. Vetterling, and B. P. Flannery, Numerical Recipes: The Art of Scientific Computing, 3rd ed. Cambridge, U.K.: Cambridge Univ. Press, 2007.
[10] S. Boyd and L. Vandenberghe, Convex Optimization. Cambridge, U.K.: Cambridge Univ. Press, 2004.
[11] D. P. Bertsekas, Nonlinear Programming, 2nd ed. Belmont, MA, USA: Athena Scientific, 1999.
[12] H. K. Khalil, Nonlinear Systems, 3rd ed. Upper Saddle River, NJ, USA: Prentice Hall, 2002.
[13] S. H. Strogatz, Nonlinear Dynamics and Chaos, 2nd ed. Boulder, CO, USA: Westview Press, 2015.
[14] E. Ott, Chaos in Dynamical Systems, 2nd ed. Cambridge, U.K.: Cambridge Univ. Press, 2002.
[15] J. D. Murray, Mathematical Biology I, 3rd ed. New York, NY, USA: Springer, 2002.
[16] A. Papoulis, Signal Analysis. New York, NY, USA: McGraw-Hill, 1977.
[17] A. V. Oppenheim and A. S. Willsky, Signals and Systems, 2nd ed. Upper Saddle River, NJ, USA: Prentice Hall, 1996.
[18] A. V. Oppenheim and R. W. Schafer, Discrete-Time Signal Processing, 3rd ed. Upper Saddle River, NJ, USA: Prentice Hall, 2010.
[19] S. Mallat, A Wavelet Tour of Signal Processing, 3rd ed. Burlington, MA, USA: Academic Press, 2008.
[20] R. N. Bracewell, The Fourier Transform and Its Applications, 3rd ed. New York, NY, USA: McGraw-Hill, 1999.
[21] G. H. Golub and C. F. Van Loan, Matrix Computations, 4th ed. Baltimore, MD, USA: Johns Hopkins Univ. Press, 2013.
[22] R. A. Horn and C. R. Johnson, Matrix Analysis, 2nd ed. Cambridge, U.K.: Cambridge Univ. Press, 2012.
[23] T. Kailath, Linear Systems. Englewood Cliffs, NJ, USA: Prentice Hall, 1980.
[24] B. Friedland, Control System Design: An Introduction to State-Space Methods. New York, NY, USA: McGraw-Hill, 1986.
[25] K. J. Åström and R. M. Murray, Feedback Systems. Princeton, NJ, USA: Princeton Univ. Press, 2008.
[26] J. Nocedal and S. J. Wright, Numerical Optimization, 2nd ed. New York, NY, USA: Springer, 2006.
[27] MathWorks, “Signal Processing Toolbox Documentation,” MathWorks, Natick, MA, USA.
[28] MathWorks, “Graph and Network Algorithms Documentation,” MathWorks, Natick, MA, USA.
[29] MathWorks, “FFT and Spectral Analysis Documentation,” MathWorks, Natick, MA, USA.
[30] MathWorks, “Symbolic Math Toolbox Documentation,” MathWorks, Natick, MA, USA.
You can download the Project files here: Download files now. (You must be logged in).







Responses