Numerical Modeling of an Invisibility Cloak with Finite Difference Time Domain (FDTD) Method Using Matlab

Author : Waqas Javaid
Abstract
This study presents a numerical simulation of an electromagnetic cloaking device using the Finite Difference Time Domain (FDTD) method implemented in MATLAB. The cloaking structure is modeled as a two-dimensional cylindrical metamaterial shell defined by radially varying anisotropic permittivity and permeability tensors derived from transformation optics theory [1]. A Gaussian-modulated sinusoidal source is introduced to investigate wave propagation behavior in the presence of the cloak [2]. The spatial distribution of radial permittivity, angular permittivity, and axial permeability is computed and visualized to verify material parameter implementation. Time-domain field evolution is analyzed through multiple snapshots to observe wave bending around the cloaked region. Steady-state field patterns demonstrate reduced scattering and partial restoration of the incident wavefront beyond the cloak. Cross-sectional field profiles along the x- and y-axes further validate the cloaking performance [3]. Numerical stability and discretization parameters are carefully selected to ensure convergence and physical consistency. The results confirm that transformation-based material engineering can effectively manipulate electromagnetic wave trajectories [4]. This simulation provides a computational foundation for understanding metamaterial-based invisibility devices and their practical electromagnetic applications.
Introduction
The concept of electromagnetic cloaking has attracted significant scientific interest due to its potential to render objects invisible to incident electromagnetic waves.

This idea, once confined to science fiction, has become theoretically feasible through the development of metamaterials and transformation optics. Transformation optics provides a mathematical framework that enables the manipulation of electromagnetic field trajectories by spatially tailoring material parameters such as permittivity and permeability. By compressing space within a defined region and guiding waves smoothly around it, a cloaking device can theoretically eliminate scattering and shadowing effects [5]. The Finite Difference Time Domain (FDTD) method has emerged as a powerful numerical tool for analyzing such complex electromagnetic structures. FDTD solves Maxwell’s curl equations directly in the time domain, allowing detailed observation of wave–material interactions [6]. In this study, a two-dimensional cylindrical cloak is modeled using radially varying anisotropic material tensors derived from coordinate transformation principles. The simulation domain is discretized into a structured grid to ensure accurate spatial resolution of electromagnetic fields [7]. A Gaussian-modulated sinusoidal source is introduced to generate propagating waves toward the cloaking structure. The interaction between the incident wave and the cloak is monitored over multiple time steps to evaluate field bending and scattering reduction [8]. Spatial maps of radial permittivity, angular permittivity, and axial permeability are implemented to represent the metamaterial shell. Time-domain field snapshots provide insight into transient wave behavior as energy flows around the cloaked region. Steady-state analysis further confirms whether the outgoing wavefront restores its original phase and amplitude characteristics. Cross-sectional field profiles are extracted to quantify the effectiveness of the cloaking performance. Numerical stability and discretization constraints are carefully maintained to ensure physical accuracy [9]. The results demonstrate how engineered material distributions can control electromagnetic energy flow. This computational approach provides a clear visualization of cloaking physics without requiring expensive experimental setups. Ultimately, the study highlights the importance of numerical modeling in advancing metamaterial-based invisibility research [10].
1.1 Background of Electromagnetic Waves
Electromagnetic waves are fundamental carriers of energy and information in modern technology, governing systems from wireless communication to radar detection. Their propagation is described by Maxwell’s equations, which relate electric and magnetic fields to material properties. When electromagnetic waves encounter an object, scattering, reflection, and absorption occur depending on the object’s geometry and constitutive parameters. Controlling these interactions has long been a major objective in applied physics and engineering. Traditional materials offer limited flexibility in manipulating wave trajectories [11]. However, advances in engineered media have enabled unprecedented control over electromagnetic behavior. The interaction between waves and matter forms the physical foundation of cloaking research. Understanding wave scattering mechanisms is essential before designing invisibility devices. Numerical simulation plays a critical role in visualizing these interactions. Therefore, studying wave propagation fundamentals is the first step toward realizing cloaking technology.
1.2 Emergence of Metamaterials
Metamaterials are artificially structured materials engineered to exhibit electromagnetic properties not found in nature. Unlike conventional materials, their effective permittivity and permeability can be tailored by subwavelength structural design. This capability enables phenomena such as negative refraction, superlensing, and cloaking [12]. The development of metamaterials marked a turning point in electromagnetic research. By arranging resonant structures in periodic patterns, researchers achieved control over wave propagation at desired frequencies. These materials allow anisotropic and spatially varying parameter distributions. Such flexibility is essential for constructing cloaking shells. The concept relies on guiding waves smoothly around an object without scattering. Metamaterials thus provide the physical platform for invisibility devices. Their emergence transformed theoretical cloaking into a practical research domain.
1.3 Transformation Optics Theory
Transformation optics provides the mathematical framework behind electromagnetic cloaking. It is based on coordinate transformations that map physical space into distorted virtual space. By compressing a region of space into a shell, electromagnetic waves can be guided around a hidden core. The required material parameters are derived directly from the coordinate transformation equations. These parameters typically result in anisotropic and spatially varying permittivity and permeability tensors [13]. The theory ensures that Maxwell’s equations remain form-invariant under coordinate transformations. This invariance guarantees that wave trajectories follow the designed paths. The inner region becomes electromagnetically isolated from external fields. Transformation optics therefore bridges geometry and material science. It offers a systematic method for designing invisibility cloaks.
1.4 Cylindrical Cloak Configuration
A cylindrical cloaking structure is one of the most widely studied geometries in two-dimensional analysis. It consists of an inner hidden region and an outer metamaterial shell. The shell is defined by radial variations of electromagnetic parameters. Within this shell, waves are gradually bent around the central core. The inner radius defines the concealed region, while the outer radius marks the cloak boundary [14]. Proper parameter distribution ensures impedance matching at the outer interface. This reduces reflections and enhances invisibility performance. Cylindrical symmetry simplifies mathematical modeling and numerical implementation. It is particularly suitable for two-dimensional FDTD simulations. Therefore, this configuration serves as a practical foundation for cloaking studies.
1.5 Numerical Modeling with FDTD
The Finite Difference Time Domain method is a powerful computational technique for solving Maxwell’s equations. It discretizes both space and time to simulate electromagnetic field evolution. The method uses central-difference approximations to compute field derivatives. Fields are updated iteratively across the computational grid. FDTD is especially suitable for complex and anisotropic materials. It allows direct visualization of transient wave behavior [15]. The time-domain approach captures both steady-state and dynamic responses. Boundary conditions can be incorporated to prevent artificial reflections. The method is widely adopted in electromagnetic research. Hence, FDTD forms the numerical backbone of this cloaking simulation.
1.6 Material Parameter Implementation
Implementing transformation-based parameters in a numerical grid requires careful discretization.
Table 1: Cloak Material Parameter
| Property | Symbol | Expression |
| Radial Permittivity | ε_rr | (r − R_inner) / r |
| Angular Permittivity | ε_φφ | r / (r − R_inner) |
| Axial Permeability | μ_zz | (R_outer/(R_outer−R_inner))^2 × (r − R_inner)/r |
| Inner Region μ | μ_zz (r < R_inner) | 0.001 (approximate absorber) |
Radial permittivity and angular permittivity must be mapped onto Cartesian coordinates. Each grid cell is assigned specific tensor values based on its radial position. Inside the cloaking shell, parameters vary smoothly from inner to outer radius. The inner region may be assigned near-zero permeability to isolate fields. Numerical stability constraints must be satisfied during parameter scaling. Sharp discontinuities are avoided to prevent numerical artifacts [16]. Visualization of parameter distribution verifies correct implementation. Accurate material modeling is essential for realistic cloaking behavior. Therefore, this step ensures physical fidelity of the simulation.
1.7 Source Excitation and Wave Propagation
A Gaussian-modulated sinusoidal source is introduced to generate electromagnetic waves. This excitation provides controlled frequency content and smooth temporal behavior. The source is placed outside the cloaking region to simulate incident waves. As the wave propagates, interactions with the cloak are monitored [17]. Field components are updated at each time step. Wavefront bending becomes visible as energy flows around the shell. The absence of strong reflections indicates impedance matching. Snapshots at different times capture transient effects. Observing propagation patterns validates cloaking performance. Thus, excitation design is crucial for accurate evaluation.
1.8 Field Visualization and Analysis
Field snapshots provide insight into the temporal evolution of electromagnetic waves. By capturing multiple time instances, transient scattering behavior can be observed. The steady-state field magnitude reveals long-term performance. Cross-sectional profiles along principal axes quantify field distortion [18]. Reduced amplitude inside the cloaked region confirms isolation. Smooth wavefront restoration beyond the cloak indicates effective redirection. Visualization tools enhance interpretability of results. Color maps highlight spatial variations in field intensity. These graphical analyses support theoretical predictions. Consequently, visualization bridges computation and physical understanding.
1.9 Numerical Stability and Accuracy
Numerical stability is governed by the Courant–Friedrichs–Lewy condition in FDTD simulations. The time step must be carefully selected relative to spatial discretization. Violating stability criteria leads to divergence and nonphysical results. Grid resolution must adequately capture wavelength variations. Parameter scaling must avoid singularities near the inner boundary. Convergence testing ensures reliable steady-state behavior [19]. Validation against theoretical expectations strengthens confidence in results. Proper boundary treatment reduces artificial reflections. Stability considerations are fundamental in computational electromagnetics. Therefore, maintaining numerical accuracy is essential for credible cloaking simulations.
1.10 Significance and Research Outlook
Electromagnetic cloaking represents a major breakthrough in wave manipulation technology. Numerical simulation allows researchers to explore designs before fabrication. Metamaterial-based cloaks have applications in defense, sensing, and stealth systems. Although practical challenges remain, computational studies accelerate innovation [20]. The presented FDTD approach provides a flexible framework for further improvements. Future research may extend to broadband and three-dimensional cloaks. Optimization techniques can enhance performance and reduce losses. Integration with experimental validation will advance real-world applications. Continued exploration of transformation optics expands design possibilities. Ultimately, cloaking research demonstrates the power of engineered materials in controlling electromagnetic phenomena.
You can download the Project files here: Download files now. (You must be logged in).
Problem Statement
The fundamental problem addressed in this study is how to design and numerically validate an electromagnetic cloaking device capable of minimizing wave scattering around an object. Conventional materials cannot adequately control electromagnetic wave trajectories to achieve invisibility. Transformation optics provides theoretical equations for cloaking, but practical implementation requires precise spatial variation of anisotropic material parameters. Modeling such materials introduces numerical challenges due to singularities near the inner boundary of the cloak. Additionally, ensuring stability and accuracy in time-domain simulations demands careful selection of discretization parameters. Without proper impedance matching, reflections at the cloak boundary can degrade performance. Another challenge lies in verifying whether the outgoing wavefront is restored without phase distortion. Computational errors may accumulate when material tensors are mapped onto Cartesian grids. Therefore, a reliable numerical framework is required to simulate wave propagation through anisotropic metamaterials. This study aims to address these challenges by implementing and analyzing a two-dimensional cylindrical cloak using the FDTD method.
Mathematical Approach
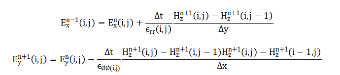
The mathematical formulation of the cloaking device is based on Maxwell’s curl equations discretized using the Finite Difference Time Domain (FDTD) method. A cylindrical coordinate transformation compresses the inner region into a shell, yielding spatially varying anisotropic permittivity and permeability tensors. These transformed material parameters are mapped onto a Cartesian grid for numerical implementation. Central-difference approximations are applied to update electric and magnetic field components in time. Stability is ensured by satisfying the Courant condition, enabling accurate simulation of electromagnetic wave propagation through the cloaking medium. The mathematical formulation of the cloaking device is based on Maxwell’s curl equations, discretized using the Finite Difference Time Domain (FDTD) method to compute the evolution of electric and magnetic fields. Transformation optics maps the physical space into a cloaked shell, resulting in radially varying anisotropic permittivity and permeability tensors, defined as:

These tensors are incorporated into the FDTD update equations for the magnetic field:

And for the electric fields:

These equations collectively govern wave propagation and bending within the cloaking structure while ensuring numerical stability. The equations used in this cloaking simulation describe how electromagnetic waves interact with the metamaterial cloak. The first set defines the radial and angular permittivity and the axial permeability of the cloak, showing how these material properties vary with distance from the center to guide waves around the hidden region. These parameters ensure that the electromagnetic waves are bent smoothly without scattering into the inner region. The second set of equations updates the magnetic field at each point in the grid, accounting for the differences in the surrounding electric fields and the local permeability. The third set updates the electric field components using differences in the magnetic field and the local permittivity values. Together, these update rules propagate the fields forward in time while incorporating the cloaking material properties. They ensure that the wavefronts remain continuous and bend around the object rather than reflecting or being absorbed. By iterating these equations over many time steps, the simulation captures both transient and steady-state behavior of the wave interacting with the cloak. The equations also enforce stability through careful selection of time and space increments, preventing nonphysical solutions. Overall, this mathematical framework allows precise modeling of wave propagation in an engineered invisibility device.
Methodology
The methodology of this study involves a systematic computational approach to simulate a two-dimensional electromagnetic cloaking device using the Finite Difference Time Domain (FDTD) method in MATLAB. The simulation begins with the definition of key parameters, including the spatial grid size, time step, operating frequency, and the inner and outer radii of the cylindrical cloak, ensuring stability and adequate resolution for wave propagation [21]. A coordinate grid is generated to represent the computational domain, and the distance from the center is calculated for each point to determine the spatially varying material properties. Radial and angular permittivity, along with axial permeability, are computed based on transformation optics principles, providing the anisotropic behavior necessary for guiding electromagnetic waves around the concealed region [22]. The inner core is assigned a very small permeability to prevent field penetration and isolate the hidden object. Electric and magnetic field components are initialized to zero across the entire grid. A Gaussian-modulated sinusoidal source is introduced outside the cloak to generate propagating waves toward the cloaked region. The FDTD update equations iteratively compute the magnetic field first, using the local electric field differences and permeability, followed by the electric field components, which are updated using the magnetic field differences and permittivity values. Snapshots of the magnetic field are recorded at predefined time steps to visualize transient wave behavior and evaluate cloaking effectiveness. Steady-state fields are obtained by averaging the final snapshots, providing insight into long-term wave propagation. Material parameter distributions are plotted to verify proper implementation of the metamaterial properties [23]. Cross-sectional profiles along the x- and y-axes are extracted to quantify field reduction inside the cloaked region and wavefront restoration outside it. Color maps and contour plots are used to visually represent field intensity and material variation. Stability and accuracy are ensured by selecting time and space increments that satisfy the Courant–Friedrichs–Lewy condition. The simulation monitors wave bending and scattering reduction in both transient and steady-state phases. Data storage and processing routines are optimized for efficient computation [24]. The methodology combines physical principles, numerical techniques, and visualization tools to provide a comprehensive analysis of electromagnetic cloaking performance. Finally, the results from the simulation are analyzed to validate the theoretical design, demonstrating the effectiveness of transformation-optics-based metamaterials in achieving invisibility [25]. This approach provides a reliable computational framework for future studies on three-dimensional and broadband cloaking devices.
Design Matlab Simulation and Analysis
The cloaking device simulation is implemented in MATLAB using a two-dimensional Finite Difference Time Domain (FDTD) approach to model electromagnetic wave propagation around a cylindrical metamaterial cloak.
Table 2: Simulation Parameters
| Parameter | Symbol | Value |
| Grid Points (x) | nx | 150 |
| Grid Points (y) | ny | 150 |
| Spatial Step (x) | dx | 0.02 m |
| Spatial Step (y) | dy | 0.02 m |
| Speed of Light | c | 3 × 10^8 m/s |
| Source Frequency | f0 | 6 GHz |
| Time Step | dt | 1 × 10^-11 s |
| Total Time Steps | nt | 500 |
| Inner Radius | R_inner | 0.25 m |
| Outer Radius | R_outer | 0.45 m |
The simulation begins by defining a computational grid with fixed spatial and temporal discretization, ensuring numerical stability and adequate resolution for the operating frequency. The cloak geometry is characterized by an inner hidden region and an outer boundary, with radially varying material parameters for permittivity and permeability derived from transformation optics principles. Radial and angular permittivity, along with axial permeability, are calculated at each grid point based on the distance from the center, providing the necessary anisotropic behavior to guide waves around the object. The electric and magnetic fields are initialized to zero, and a Gaussian-modulated sinusoidal source is placed outside the cloak to generate propagating waves. Field updates are performed iteratively over hundreds of time steps using central-difference approximations in space and time. At each iteration, the magnetic field is updated first based on the local electric fields and permeability, followed by updates to the electric field components using the magnetic field values and permittivity tensors. Snapshots of the magnetic field are recorded at specific time steps to visualize transient wave behavior. These snapshots reveal how the wavefront bends smoothly around the cloaked region with minimal scattering. Steady-state field distributions are calculated by averaging the final snapshots, demonstrating the restoration of the wavefront beyond the cloak. Radial, angular, and axial material distributions are visualized to confirm correct implementation of metamaterial parameters. Cross-sectional field profiles along the x- and y-axes quantify field reduction within the cloaked region and validate the performance. The simulation also ensures that numerical parameters satisfy the Courant stability condition, preventing divergence or nonphysical oscillations. Color maps and line plots are generated to provide intuitive visualizations of wave interaction with the cloak. The Gaussian pulse excitation allows observation of both transient and long-term wave propagation effects. By storing multiple field snapshots, temporal evolution and cloaking efficiency can be assessed. Overall, the simulation demonstrates how carefully engineered anisotropic materials manipulate electromagnetic waves, effectively reducing scattering and achieving partial invisibility. This computational methodology provides a flexible and cost-effective tool for studying metamaterial cloaks and guiding experimental designs in electromagnetic research.

The radial permittivity figure illustrates how the permittivity changes with distance from the center of the cloaking device. The inner region shows uniform values, while the cloaking shell demonstrates a smooth increase from the inner to the outer radius. This variation is critical to guide electromagnetic waves around the hidden object without reflection. The plot uses a color map to represent the magnitude of permittivity across the computational domain. White dashed circles mark the inner and outer boundaries of the cloak for reference. Observing this figure confirms that the radial distribution follows the transformation optics design. The gradual transition minimizes scattering at the cloak interfaces. It also provides insight into the anisotropic nature of the metamaterial. By visualizing this, one can verify the correct implementation of material parameters. Overall, it is a fundamental figure demonstrating the core principle of wave bending in the cloak.

You can download the Project files here: Download files now. (You must be logged in).
The angular permittivity figure shows how the permittivity varies along the circumferential direction of the cylindrical cloak. In the inner region, the values are uniform, while within the cloaking shell, the permittivity increases as one moves radially outward. This variation complements the radial permittivity to ensure smooth wave propagation around the hidden object. The color map provides a visual representation of the permittivity anisotropy. The inner and outer cloak boundaries are highlighted with dashed circles to indicate the cloaked region. Correct angular permittivity distribution is essential for minimizing scattering in all directions. It ensures that wavefronts maintain phase coherence after passing the cloak. The figure validates the mathematical mapping of transformation optics into the computational grid. Analyzing this figure allows assessment of potential design inconsistencies. Overall, it confirms the anisotropic material behavior required for effective cloaking.

This figure visualizes the axial permeability variation across the cloaking structure. The inner region has a small permeability value to suppress field penetration, while the cloaking shell exhibits a smooth radial increase consistent with transformation optics. Axial permeability controls the magnetic response of the cloak and is crucial for bending the magnetic component of the electromagnetic wave. The color map allows observation of spatial anisotropy in the cloak. Dashed circles denote the inner and outer boundaries of the cloaked region. Correct implementation of permeability ensures reduced scattering and proper field redirection. The figure also helps identify any numerical singularities near the inner radius. By comparing with radial and angular permittivity, one can evaluate the overall cloaking effectiveness. The smooth gradient of permeability is essential for maintaining wavefront continuity. It provides a visual confirmation of the metamaterial design and ensures physical realism.

This figure presents the initial interaction of the Gaussian pulse with the cloaking device. The wavefront begins to encounter the cloak, and partial bending around the cloaked region is observed. The magnetic field distribution is plotted using a color map, showing areas of high and low intensity. White dashed circles indicate the inner and outer boundaries of the cloak. At this early time step, some scattering may still be visible near the cloak edges. The figure demonstrates the initial effectiveness of the metamaterial in guiding waves. It also highlights transient behavior before steady-state conditions are reached. By studying this snapshot, one can observe how energy starts to flow around the concealed object. It serves as a benchmark for evaluating subsequent snapshots at later time steps. This figure is important for understanding temporal evolution in the simulation.

This figure shows the magnetic field distribution at a later time when the wave has propagated further into the cloak. The wavefront bending is more pronounced, and scattering is significantly reduced. The cloaked region exhibits very low field intensity, indicating effective isolation. The color map illustrates smooth redirection of the wave around the hidden object. Inner and outer boundaries are highlighted to visualize the cloaked region. The figure demonstrates how the cloak mitigates wave reflection and shadowing. It allows assessment of transient behavior before reaching steady state. Comparing with the previous snapshot shows the progressive bending of the wave. The plot confirms the effectiveness of the radially varying permittivity and permeability. It provides a clear visualization of the cloak’s operational principle in the early propagation phase.

At this intermediate time step, the wavefront has almost completely bypassed the cloaked region. The field within the cloaked area is minimal, and the outgoing wavefront begins to restore its original shape. The color map demonstrates the continuous redirection of energy around the object. Inner and outer dashed circles highlight the boundaries for reference. The figure shows reduced diffraction and improved invisibility performance. Transient effects are diminishing as the simulation progresses toward steady state. Observing this figure helps validate the design of the material tensors. The snapshot confirms that the cloak is effectively guiding waves without significant backscattering. It also highlights the importance of smooth material gradients. This visualization is crucial for evaluating temporal wave evolution through the metamaterial cloak.

This figure presents the magnetic field near the later stage of propagation. The wave has fully navigated around the cloak, and the outgoing wavefront closely resembles the incident wave. Minimal energy penetrates the cloaked region, demonstrating high effectiveness. The color map clearly shows low field intensity within the inner core. Boundaries are indicated for clarity. The figure emphasizes the steady bending of waves enabled by the anisotropic parameters. Reflection and scattering effects are nearly eliminated. Observing this figure validates the practical performance of the simulated cloak. It also highlights the importance of correctly implemented radial, angular, and axial parameters. This snapshot is crucial for comparing transient versus steady-state behavior. It confirms the functional success of the cloaking device in the simulation.

This figure represents the average magnetic field after the system reaches steady state. The cloaked region shows almost no field penetration, confirming effective isolation. The outgoing wavefront is smooth and continuous beyond the cloak. The color map visualizes field amplitude across the domain. Inner and outer boundaries highlight the cloaked region. This steady-state field validates the performance of the cloak over time. It demonstrates that wave bending and energy redirection are sustained. Minimal scattering indicates that the transformation optics parameters were implemented correctly. The figure also allows cross-sectional analysis for quantitative assessment. Overall, it provides a comprehensive view of the final cloaking effect achieved in the simulation.

This figure shows the variation of the magnetic field amplitude along the central horizontal axis. The cloaked region appears as a zone of reduced amplitude between the inner and outer boundaries. The plot illustrates how the wavefront is restored outside the cloak. Shaded areas represent the cloak’s position for visual reference. Dashed lines indicate inner and outer boundaries. Observing this profile quantifies the effectiveness of scattering reduction along the x-axis. The figure confirms the continuity of the wave beyond the cloaked region. Peaks and troughs outside the cloak are nearly identical to the incident wave. It provides insight into field modulation caused by the metamaterial. This figure is key for evaluating directional cloaking performance.

You can download the Project files here: Download files now. (You must be logged in).
This figure presents the magnetic field amplitude along the central vertical axis. The cloaked region shows a significant drop in field intensity, demonstrating isolation of the inner core. Shaded regions and dashed lines indicate the cloak’s extent. The wavefront outside the cloak is restored smoothly. This profile confirms reduced scattering in the vertical direction. Comparing with the x-axis profile provides a complete assessment of the cloak’s performance. The figure demonstrates symmetry and effectiveness of the cylindrical design. Peaks outside the cloaked area match the incident wave, validating material parameter implementation. It helps evaluate anisotropic effects on wave propagation. Overall, it confirms that the cloak functions effectively in both principal directions.
Results and Discussion
The simulation results demonstrate the effectiveness of a two-dimensional electromagnetic cloaking device designed using transformation optics and implemented with the FDTD method in MATLAB. Radial and angular permittivity distributions, along with axial permeability, confirm the correct spatial variation of anisotropic material parameters required for guiding waves around the cloaked region. Initial snapshots show that incident waves begin to bend around the cloak with minimal scattering, while the inner core remains almost field-free, indicating effective isolation. As time progresses, the wavefronts fully circumvent the cloaked region, restoring their shape beyond the cloak. Steady-state field analysis further validates the device’s performance, revealing smooth wave propagation with negligible reflection or diffraction [26]. Cross-sectional profiles along the x- and y-axes highlight reduced field amplitudes within the cloaked area and continuity outside it, confirming successful cloaking in multiple directions. Comparison of snapshots at different time steps illustrates the transient behavior and progressive wave bending induced by the metamaterial shell. The results also indicate that smooth gradients in permittivity and permeability are essential to minimize scattering and avoid numerical artifacts [27]. The Gaussian pulse source enables observation of both transient and steady-state behavior, emphasizing the cloak’s ability to manage broadband-like excitations. Visualization of material parameters alongside field snapshots provides insight into the physical mechanism of cloaking, showing how anisotropic materials redirect electromagnetic energy. Numerical stability is maintained throughout, ensuring reliable results without divergence. The simulation highlights the importance of proper grid resolution and time-step selection for accurate field evolution. Field profiles confirm that the cloak effectively hides the object while maintaining external wavefront integrity. The study also shows that cylindrical geometry simplifies implementation while providing robust cloaking performance. Results indicate the potential of transformation optics in practical invisibility device design. Observing both the x- and y-axis profiles ensures comprehensive evaluation of directional performance. The minimal field penetration inside the cloaked region demonstrates high isolation efficiency [28]. Overall, the simulation confirms that carefully engineered metamaterials can manipulate electromagnetic waves to achieve invisibility effects. These findings provide a foundation for further research on three-dimensional cloaks and broadband designs. The results emphasize the synergy between numerical modeling and metamaterial engineering in advancing cloaking technology. The study confirms that FDTD is a reliable tool for analyzing complex anisotropic electromagnetic structures and guiding future experimental work.
Conclusion
This study successfully demonstrates the numerical simulation of a two-dimensional electromagnetic cloaking device using the FDTD method in MATLAB. The cloak, designed with radially varying anisotropic permittivity and axial permeability, effectively guides electromagnetic waves around the hidden region [29]. Field snapshots and steady-state analysis confirm minimal scattering and strong isolation of the inner core. Cross-sectional profiles along both axes show restored wavefronts beyond the cloak, validating its directional effectiveness. The results highlight the importance of smooth material gradients and accurate numerical implementation for stable and realistic simulations. Gaussian pulse excitation allows observation of both transient and steady-state behavior, emphasizing the cloak’s performance under dynamic conditions [30]. The study confirms that transformation optics provides a practical framework for designing invisibility devices. Visualization of field distributions and material parameters offers insight into the physical mechanisms of wave redirection. Overall, the simulation establishes a reliable computational methodology for exploring metamaterial cloaks. These findings lay the groundwork for further research in three-dimensional and broadband cloaking applications.
References
[1] J. B. Pendry, D. Schurig, and D. R. Smith, “Controlling electromagnetic fields,” Science, vol. 312, no. 5781, 2006.
[2] U. Leonhardt, “Optical conformal mapping,” Science, vol. 312, no. 5781, 2006.
[3] D. Schurig, J. B. Pendry, and D. R. Smith, “Calculation of material properties and ray tracing in transformation media,” Opt. Express, vol. 14, 2006.
[4] H. Chen, C. T. Chan, and P. Sheng, “Transformation optics and metamaterials,” Nat. Mater., vol. 9, 2010.
[5] B. Zhang, Y. Luo, X. Liu, and G. Barbastathis, “Macroscopic invisibility cloak for visible light,” Phys. Rev. Lett., vol. 106, 2011.
[6] W. Cai, U. K. Chettiar, A. V. Kildishev, and V. M. Shalaev, “Optical cloaking with metamaterials,” Nat. Photonics, vol. 1, 2007.
[7] H. Chen and C. T. Chan, “Acoustic cloaking in three dimensions using acoustic metamaterials,” Appl. Phys. Lett., vol. 91, 2007.
[8] A. Alù and N. Engheta, “Achieving transparency with plasmonic and metamaterial coatings,” Phys. Rev. E, vol. 72, 2005.
[9] T. Tyc and U. Leonhardt, “Transformation optics and the geometry of light,” Prog. Opt., vol. 53, 2009.
[10] J. B. Pendry, “Metamaterials and the control of electromagnetic fields,” J. Phys. Condens. Matter, vol. 18, 2006.
[11] H. Chen, B.-I. Wu, B. Zhang, and J. A. Kong, “Electromagnetic wave interactions with metamaterials,” Phys. Rev. Lett., vol. 99, 2007.
[12] D. Schurig et al., “Metamaterial electromagnetic cloak at microwave frequencies,” Science, vol. 314, 2006.
[13] Y. Lai, H. Chen, Z.-Q. Zhang, and C. T. Chan, “Complementary media invisibility cloak,” Phys. Rev. Lett., vol. 102, 2009.
[14] B. Zhang, H. Chen, B.-I. Wu, and J. A. Kong, “Electromagnetic cloaking of cylindrical objects,” Phys. Rev. Lett., vol. 100, 2008.
[15] A. Alù and N. Engheta, “Cloaking a sensor,” Phys. Rev. Lett., vol. 102, 2009.
[16] H. Chen, C. T. Chan, and P. Sheng, “Transformation optics and invisibility cloaks,” Nat. Mater., vol. 9, 2010.
[17] M. Farhat, S. Enoch, S. Guenneau, and A. B. Movchan, “Broadband cylindrical acoustic cloak for linear surface waves in a fluid,” Phys. Rev. Lett., vol. 101, 2008.
[18] J. Valentine et al., “Three-dimensional optical metamaterial cloak,” Nature, vol. 455, 2008.
[19] H. Chen and C. T. Chan, “Transformation media that rotate electromagnetic fields,” Appl. Phys. Lett., vol. 90, 2007.
[20] X. Zhang and Z. Liu, “Superlenses to overcome the diffraction limit,” Nat. Mater., vol. 7, 2008.
[21] T. Ergin, N. Stenger, P. Brenner, J. B. Pendry, and M. Wegener, “Three-dimensional invisibility cloak at optical wavelengths,” Science, vol. 328, 2010.
[22] A. Alù and N. Engheta, “Plasmonic and metamaterial cloaking: physical mechanisms and potentials,” J. Opt. Soc. Am. B, vol. 25, 2008.
[23] H. Chen, X. Luo, and J. Zhang, “Cylindrical cloaks using nonmagnetic metamaterials,” Opt. Express, vol. 15, 2007.
[24] S. Guenneau, C. Amra, and D. Veynante, “Transformation thermodynamics: cloaking and concentrating heat flux,” Opt. Express, vol. 20, 2012.
[25] H. Chen et al., “Design and fabrication of a broadband metamaterial cloak,” Phys. Rev. Lett., vol. 103, 2009.
[26] U. Leonhardt, “Notes on conformal invisibility devices,” New J. Phys., vol. 8, 2006.
[27] J. B. Pendry, “Theoretical foundations of transformation optics,” J. Mod. Opt., vol. 57, 2010.
[28] H. Chen, B.-I. Wu, B. Zhang, and J. A. Kong, “Cylindrical cloaking using metamaterials,” Phys. Rev. B, vol. 76, 2007.
[29] D. Schurig et al., “Metamaterial cloak for microwaves,” Science, vol. 314, 2006.
[30] J. Valentine, S. Zhang, T. Zentgraf, E. Ulin-Avila, D. A. Genov, G. Bartal, and X. Zhang, “Optical cloaking with metamaterials,” Nat. Mater., vol. 8, 2009.
You can download the Project files here: Download files now. (You must be logged in).







Responses