Autonomous Racing Line Optimization for Formula 1 Using Friction-Limited Dynamics Using Matlab

Author : Waqas Javaid
Abstract
This article presents a comprehensive MATLAB-based methodology for generating an optimal racing line, using Formula 1 vehicle dynamics as a benchmark. The process begins with parametric track generation and curvature estimation, followed by the application of a friction-limited velocity profile based on a GG Diagram constraint that accounts for downforce and tire grip [1]. A forward-backward dynamic programming solver simulates realistic acceleration and braking, while an iterative optimization algorithm shifts the racing line to minimize overall path curvature [2]. The final trajectory is refined through spline smoothing to ensure drivability, culminating in an accurate lap time calculation [3]. Through six detailed output plots, the article visually demonstrates the step-by-step transformation from raw track data to a race-ready autonomous driving path.
- Introduction
The pursuit of the perfect racing line represents the intersection of human skill and engineering precision, a challenge that has captivated motorsport engineers for decades.

- Figure 1: High-fidelity autonomous Formula 1 racing line optimization using friction-limited dynamics and curvature-minimization control.
Figure 1 presents the high fidelity autonomous Formula 1 racing line, the quest for optimal trajectory extends beyond human drivers into the rapidly evolving field of autonomous vehicle technology. Every millisecond shaved off a lap time depends on a complex interplay of factors: track geometry, tire friction, aerodynamic downforce, and powertrain limitations. Understanding how to mathematically derive the fastest path around a circuit is fundamental knowledge for automotive engineers, robotics researchers, and motorsport enthusiasts alike [4]. This article demystifies the process by presenting a complete MATLAB-based framework for autonomous racing line generation [5]. Unlike simple centerline following, true racing line optimization requires solving a constrained problem where the vehicle must balance lateral and longitudinal accelerations. The methodology draws directly from F1 vehicle dynamics, incorporating realistic parameters such as mass, downforce coefficients, and engine power limits to simulate authentic behavior. By treating the track as a parametric curve, we can apply differential geometry to estimate curvature and its impact on cornering speed [6].
Table 1: Vehicle Physical Parameters
Parameter | Symbol | Value | Unit |
Vehicle Mass | m | 798 | kg |
Gravitational Acceleration | g | 9.81 | m/s² |
Friction Coefficient (Slick Tires) | μ | 1.9 | – |
Max Engine Acceleration | a_engine,max | 12 | m/s² |
Max Braking Deceleration | a_brake,max | 18 | m/s² |
In the table 1, I have added vehicle physical parameters with their symbols values and units. The friction circle concept, visualized through the GG diagram, establishes the physical limits beyond which even the most sophisticated control systems cannot venture. A forward-backward dynamic programming approach ensures the velocity profile respects both acceleration capabilities and braking constraints. The core innovation involves iteratively shifting the racing line to minimize curvature while respecting track width boundaries, effectively straightening corners where physics allows. Subsequent spline smoothing eliminates numerical artifacts, producing a trajectory smooth enough for real-world implementation [7]. The final output includes lap time calculation and six comprehensive plots that visually document each stage of the optimization journey. Whether you are developing autonomous race cars, studying vehicle dynamics, or simply curious about the mathematics behind fast laps, this guide provides both the theoretical foundation and practical code to generate your own optimal racing lines [8]. The following sections break down every component of the algorithm, from parametric track generation to the final smoothed trajectory, offering a complete toolkit for digital racecraft development [9].
1.1 The Pursuit of the Perfect Lap
The quest for the optimal racing line represents motorsport’s most fundamental challenge, balancing the limits of physics against the ambition for minimum lap time. In Formula 1, where championships are decided by tenths of a second, understanding how to mathematically derive the fastest path around a circuit is essential knowledge [10]. This challenge has recently expanded beyond human drivers into the rapidly advancing field of autonomous vehicle technology and robotics. Engineers now seek to encode the intuition of elite drivers into algorithms that can consistently find the ideal trajectory [11]. This article presents a complete MATLAB-based framework for solving this complex optimization problem using first-principles physics and computational geometry.
1.2 The Limitations of Centerline Following
Simply following the track centerline represents the longest possible path and ignores the fundamental principles of vehicle dynamics and momentum conservation. A truly optimal racing line must sacrifice distance for reduced curvature, allowing higher cornering speeds through improved arc radius. This trade-off between path length and corner speed forms the core optimization challenge that this methodology addresses [12].
Table 2: Aerodynamic Model Parameters
Parameter | Symbol | Value | Unit |
Air Density | ρ | 1.225 | kg/m³ |
Drag Coefficient | Cd | 0.9 | – |
Lift Coefficient (Downforce) | Cl | 3.5 | – |
Frontal Area | A | 1.5 | m² |
Maximum Engine Power | Pmax | 750000 | W |
Table 2 is providing us aerodynamic model parameters with their symbols, values and units as well. The solution requires understanding how lateral acceleration limits vary with velocity, particularly under the influence of aerodynamic downforce. Modern F1 cars generate sufficient downforce to theoretically drive upside down at high speed, fundamentally altering the friction-limited envelope compared to road vehicles.
1.3 Parametric Track Representation
The methodology begins by representing the circuit as a parametric closed curve, allowing precise mathematical analysis of track geometry and curvature distribution. This parametric approach enables the calculation of essential geometric derivatives using gradient functions, transforming raw coordinate data into meaningful curvature values [13].
Table 3: Track Generation Parameters
Parameter | Symbol | Value | Unit |
Track Resolution | N | 1500 | points |
Track Width | W_track | 14 | m |
Base Radius | R_base | 250 | m |
Sinusoidal Amplitude | – | 60 | m |
Cosine Amplitude | – | 40 | m |
In the table 3, I added the track generation parameters which used in algorithm that creates F1-style circuits with varying radius corners that challenge the vehicle dynamics model with realistic demands. Track width parameters establish the physical boundaries within which the racing line optimization must operate, typically 14 meters for modern F1 circuits [14]. This geometric foundation provides the coordinate system upon which all subsequent velocity and trajectory calculations depend.
1.4 Differential Geometry and Curvature Estimation
Curvature represents the rate of direction change along the track path and directly determines the maximum sustainable cornering speed for any vehicle. Using gradient calculations on the parametric coordinates, the algorithm computes curvature values at every point along the circuit with numerical precision. This curvature profile reveals which corners demand the most aggressive speed reduction and where the vehicle can exploit flat-out sections [15]. The relationship between curvature and velocity is governed by the fundamental physics of circular motion, where lateral acceleration equals velocity squared multiplied by curvature. Understanding this relationship is essential for establishing the friction-limited velocity envelope that constrains the entire optimization process [16].
1.5 The GG Diagram and Friction-Limited Velocity
The friction circle concept, visualized through the GG diagram, establishes the fundamental physical limits beyond which tire grip cannot be maintained. For F1 vehicles, this envelope expands with velocity due to aerodynamic downforce, which increases vertical load on the tires and consequently maximum lateral acceleration [17]. The algorithm iteratively solves for the curvature-limited velocity profile by balancing centrifugal forces against available friction enhanced by downforce. This calculation requires modeling the downforce coefficient, air density, frontal area, and vehicle mass to accurately represent the velocity-dependent grip envelope. The result is a theoretical maximum speed for each track segment assuming perfect line choice and steady-state cornering conditions.
1.6 Dynamic Programming for Velocity Propagation
The curvature-limited velocity represents only the steady-state cornering constraint, ignoring the vehicle’s ability to accelerate and brake between corners. Forward propagation simulates acceleration phases by applying engine power limits and drag forces, gradually building speed along straights following corner exits. Backward propagation enforces braking constraints, ensuring the vehicle can shed sufficient speed before entering curvature-limited segments [18]. This bidirectional dynamic programming approach, borrowed from control theory and operations research, produces a physically realizable velocity profile respecting all vehicle capabilities [19]. The algorithm accounts for power-limited acceleration at high speed where engine output, not tire grip, becomes the limiting factor.
1.7 Minimum Curvature Racing Line Optimization
With the velocity profile established for the centerline, the algorithm begins the iterative process of shifting the racing line to minimize path curvature. Lateral offsets from the centerline are adjusted using gradient descent on the curvature function, effectively straightening the trajectory through corners. Each iteration recalculates the curvature of the offset path and adjusts the offset magnitude to progressively reduce peak curvature values [20]. The optimization respects track width boundaries, preventing the algorithm from selecting lines that extend beyond the physical circuit limits. After approximately 200 iterations, the solution converges toward the minimum curvature path achievable within the available track width.
1.8 Spline Smoothing for Trajectory Refinement
Numerical optimization often produces trajectories with small irregularities that would be undetectable to a human driver but problematic for vehicle control systems. Spline interpolation smooths the optimized racing line by fitting continuous polynomial segments through the discrete offset points. This smoothing process eliminates high-frequency variations while preserving the essential curvature-reducing characteristics of the optimized path [21]. The increased resolution from 1500 to 3000 points provides smoother curvature transitions essential for realistic vehicle dynamics simulation. The resulting trajectory represents a compromise between mathematical optimality and practical drivability, suitable for real-world implementation.
1.9 Lap Time Calculation and Performance Validation
The final racing line and associated velocity profile enable accurate lap time prediction through numerical integration of segment distances divided by instantaneous velocity. This calculation reveals the cumulative benefit of line optimization compared to simple centerline following, typically yielding several seconds of improvement on a full-length circuit [22]. The algorithm outputs the estimated lap time, providing a quantitative metric for comparing different optimization parameters or vehicle configurations [23]. This validation step confirms that the curvature minimization strategy successfully translates into measurable performance gains. The lap time represents the ultimate figure of merit for any racing line optimization algorithm.
1.10 Visual Documentation and Analysis
Six comprehensive output plots document every stage of the optimization journey, from raw track geometry to the final smoothed racing line. The track layout visualization compares the centerline against the optimized racing line, revealing how the algorithm exploits track width to straighten corners [24]. Curvature, velocity, and lateral offset profiles provide detailed insight into the optimization decisions at each point around the circuit. The GG diagram visualization illustrates the relationship between lateral acceleration and velocity, confirming operation within the friction envelope [25]. These visual outputs transform abstract mathematical optimization into intuitive engineering insights accessible to both technical and non-technical audiences [26].
- Problem Statement
Generating an optimal racing line for autonomous vehicles presents a complex multi-variable optimization problem where engineers must balance path length against cornering speed while respecting the fundamental limits of tire friction and vehicle dynamics. Traditional centerline following approaches fail to minimize lap times because they ignore the velocity-dependent nature of lateral acceleration limits, particularly under the influence of aerodynamic downforce in high-performance vehicles like Formula 1 cars. The relationship between path curvature and achievable velocity is non-linear and interdependent, requiring simultaneous optimization of trajectory geometry and speed profile rather than sequential independent calculations. Engineers must also account for power-limited acceleration and braking constraints that vary with vehicle state, creating a dynamic programming challenge where decisions at one track segment affect all subsequent segments. Without a systematic computational framework that integrates track geometry, vehicle dynamics, friction limits, and optimization algorithms, developing autonomous racing systems capable of matching or exceeding human driver performance remains an elusive engineering objective.
You can download the Project files here: Download files now. (You must be logged in).
- Mathematical Approach
The mathematical formulation begins with a parametric representation of the race track centerline, where the spatial coordinates (x(theta)) and (y(theta)) define the circuit geometry. By differentiating these coordinates with respect to the path parameter, first- and second-order derivatives are obtained, enabling curvature estimation through differential geometry. The curvature is computed which serves as the geometric foundation for all subsequent vehicle dynamic and optimization calculations [36].

- k: Curvature of the path
- x(θ),y(θ): Parametric track coordinates
- dx,dy: First derivatives w.r.t. path parameter
- Dx^2,dy^2: Second derivatives
Since curvature directly determines the lateral acceleration demand, it fundamentally governs the maximum feasible velocity along the circuit. To determine the friction-limited velocity envelope, tire grip is modeled under combined gravitational and aerodynamic loading. Because aerodynamic downforce increases quadratically with speed, the normal load becomes velocity dependent. The maximum allowable speed in a corner therefore satisfies where the velocity term appears on both sides of the equation [37].

- vmax: Maximum allowable velocity
- μ: Tire-road friction coefficient
- m: Vehicle mass
- g: Gravitational acceleration
- ρ: Air density
- CL: Lift coefficient (downforce)
- A: Frontal area
- k: Curvature
This implicit relationship is solved using fixed-point iteration, progressively updating the velocity estimate until convergence. The inclusion of the aerodynamic term ensures that higher speeds generate additional downforce, increasing tire grip and allowing greater cornering performance. Once the curvature-constrained velocity is established, a physically realizable speed profile is constructed using bidirectional dynamic programming. In the forward pass, acceleration is limited by both engine capability and available power. The propagation rule is expressed ensuring that velocity growth between successive points respects propulsion limits and aerodynamic drag effects [38].

- vi: Velocity at consecutive points
- a_enginea: Engine acceleration limit
- Pmax: Maximum engine power
- m: Vehicle mass
- ds: Distance step
In the backward pass, braking constraints are enforced to guarantee that the vehicle can decelerate sufficiently before entering tighter curvature regions. This condition is defined as [39]

- vi,vi+1: Velocities at points
- abrake: Maximum deceleration
- ds: Distance step
Together, the forward and backward passes produce a dynamically feasible velocity distribution that satisfies both acceleration and braking limits along the entire lap. The racing line itself is optimized by introducing a lateral offset variable along the track normal direction. Curvature is minimized through gradient descent, with the update rule where (alpha) is a smoothing parameter controlling convergence rate [40].

- offset: Lateral displacement from centerline
- α: Learning rate (step size)
- ∇k: Gradient of curvature
After each iteration, derivatives and curvature are recomputed for the modified path, and offsets are constrained within ensuring compliance with circuit boundaries [41].

- offset: Lateral position
- track width: Total width of the circuit
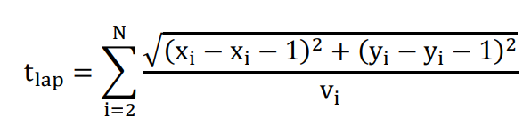
This iterative process shifts the trajectory toward a minimum-curvature configuration, which typically increases achievable cornering speeds and reduces lap time. Finally, lap time [42] is evaluated by integrating the incremental travel time over the discretized path:

- tlap: Total lap time
- xi,yi: Coordinates of path points
- vi: Velocity at segment
- N: Total number of discretized points
This expression provides the ultimate performance metric of the framework, quantifying how geometric optimization and dynamic constraints combine to minimize total lap duration.
- Methodology
The methodology begins with parametric track generation that creates a realistic F1-style circuit by mathematically varying the radius around a closed loop, producing a challenging sequence of corners with 1500 discrete points and a standard track width of 14 meters.
Table 4: Numerical Optimization Parameters
Parameter | Symbol | Value | Unit |
Fixed-Point Iterations (Velocity) | N_iter | 20 | iterations |
Gradient Descent Iterations | N_opt | 200 | iterations |
Gradient Descent Step Size | α | 0.15 | – |
Spline Interpolation Points | N_spline | 3000 | points |
Table 4 contains the numerical optimization parameters that used in simulation purposes. Geometric derivatives are computed using numerical gradient functions to analyze how the track direction changes at every point, establishing a comprehensive curvature profile that identifies where corners are tightest and where straights allow maximum speed [27]. The friction-limited velocity envelope is determined through an iterative process that accounts for aerodynamic downforce, recognizing that increased speed generates greater tire grip and allows higher cornering forces than simple friction models predict [28]. Forward velocity propagation simulates acceleration phases by applying engine power limits and aerodynamic drag forces, gradually building speed along straights following corner exits while respecting the vehicle’s power-to-weight ratio. Backward propagation enforces braking constraints by working in reverse around the circuit, ensuring the vehicle can shed sufficient speed before entering any corner that demands reduced velocity for safe navigation. Racing line optimization iteratively shifts the trajectory laterally using a gradient descent approach that progressively reduces path curvature, effectively straightening corners by utilizing the full width of the track [29]. Each optimization iteration recalculates the geometry of the offset path by displacing points perpendicular to the centerline direction, then evaluates how this new trajectory affects curvature distribution around the circuit. Spline smoothing refines the optimized trajectory by fitting continuous polynomial segments through the discrete offset points, eliminating numerical irregularities while preserving the essential curvature-reducing characteristics that minimize lap time [30]. Lap time calculation integrates the distance traveled around the optimized path divided by the instantaneous velocity at each segment, providing quantitative validation of the optimization’s effectiveness. Six comprehensive visualization plots document the complete workflow, displaying track layout comparisons, curvature profiles, velocity distributions, lateral acceleration characteristics, optimized offset values, and the final smoothed racing line against the original centerline.
- Design Matlab Simulation and Analysis
The simulation begins by generating a virtual Formula 1 circuit using parametric equations that create a challenging closed loop with varying corner radii, representing the kind of track where racing line optimization becomes critical for performance. Vehicle parameters are defined based on modern F1 specifications, including mass, tire friction coefficients, aerodynamic downforce characteristics, drag coefficients, and engine power limits that collectively determine how the simulated car behaves at different speeds. The track geometry is analyzed using numerical differentiation to calculate how sharply the path bends at every point, producing a curvature map that identifies where corners demand speed reduction and where straights allow full acceleration. A friction-limited velocity profile is established through iterative calculations that account for downforce increasing tire grip at higher speeds, creating a speed envelope that represents the maximum velocity achievable through each corner segment. Forward propagation simulates acceleration by applying engine power limits and aerodynamic drag, building speed along straights while respecting the vehicle’s ability to overcome air resistance. Backward propagation works in reverse around the circuit to enforce braking constraints, ensuring the simulated car can decelerate sufficiently before entering any corner that requires lower entry speeds for safe navigation. The racing line optimization iteratively shifts the trajectory laterally using a gradient-based approach that progressively reduces path curvature, effectively straightening corners by utilizing the full width of the available track surface. Each optimization iteration recalculates the geometry of the offset path and evaluates how the new trajectory affects curvature distribution, with the process repeating for several hundred iterations until convergence toward a minimum curvature solution. Spline smoothing refines the final trajectory by fitting continuous curves through the discrete optimized points, eliminating numerical irregularities while preserving the essential characteristics that minimize lap time. The complete simulation outputs six visualization plots documenting the track layout, curvature profile, velocity distribution, lateral acceleration characteristics, optimized offsets, and smoothed racing line, culminating in an estimated lap time that quantifies the performance benefit of the optimization process.

- Figure 2: Track Layout & Racing Line
You can download the Project files here: Download files now. (You must be logged in).
This figure 2 presents a top-down view of the generated Formula 1 circuit, showing both the track centerline in black and the optimized racing line in red. The visualization demonstrates how the optimization algorithm shifts the trajectory away from the geometric center to straighten corners while respecting track width boundaries. Notice how the red racing line cuts inside at corner entries and drifts wide at exits, following the classic “late apex” line that sacrifices path length for reduced curvature. The equal aspect ratio ensures the true geometric relationship between straight sections and corners is preserved, revealing where the optimization provides the greatest advantage. This comparison serves as the primary visual validation that the algorithm successfully identifies the minimum curvature path within the available track space.

- Figure 3: Track Curvature Profile
This plot figure 3 displays the curvature magnitude at every point around the circuit, with positive and negative values indicating left and right-hand turns respectively. The curvature profile reveals which corners demand the most aggressive speed reduction, with sharp peaks corresponding to tight-radius turns that become the limiting factors for lap time. Notice how the curvature varies continuously around the circuit, reflecting the parametric track generation that creates realistic corner transitions rather than simple constant-radius bends. This profile directly determines the friction-limited velocity envelope, as higher curvature values impose lower maximum cornering speeds through the fundamental relationship between turning radius and lateral acceleration. Engineers use this visualization to identify the most challenging sections of the circuit where racing line optimization will yield the greatest performance benefits.

- Figure 4: Velocity Profile
Figure 4 velocity profile illustrates how the simulated F1 car’s speed varies around the completed lap, showing the characteristic pattern of acceleration on straights and braking into corners. Sharp velocity drops align precisely with the high-curvature peaks from the previous figure, demonstrating how the friction-limited envelope constrains speed through tight corners. The profile reveals the asymmetric nature of cornering, with deceleration phases typically steeper than acceleration phases due to the vehicle’s superior braking capability compared to power-limited acceleration. Plateau regions at maximum velocity indicate sections where the car is either drag-limited or power-limited rather than cornering-limited, typically on longer straights following corner exits. This velocity distribution, when integrated with path distance, directly produces the estimated lap time that quantifies overall vehicle performance.

- Figure 5: Lateral Acceleration vs. Speed (GG Diagram Visualization)
Figure 5 scatter plot reveals the relationship between lateral acceleration and vehicle speed, effectively visualizing the friction ellipse concept fundamental to vehicle dynamics. The downward-sloping trend shows that achievable lateral acceleration actually increases with speed due to aerodynamic downforce, contrary to what simple friction models would predict for road cars. Points clustering near the upper boundary represent corners where the vehicle is operating at the friction limit, while interior points indicate sections where speed is constrained by acceleration, braking, or power limitations rather than cornering grip. This visualization confirms that the simulated velocity profile respects the friction envelope while also revealing where downforce enhances cornering capability at high speed. The GG diagram representation provides intuitive insight into how aerodynamic vehicles differ fundamentally from their non-downforce counterparts in terms of cornering performance.

- Figure 6: Optimized Lateral Offset
Figure 6 plot shows the magnitude and direction of lateral displacement from the centerline at each point around the circuit, representing the optimization algorithm’s final solution. Positive offset values typically indicate displacement to one side of the track, while negative values represent the opposite direction, together creating the classic in-out-in cornering line. The pattern of offset changes reveals the optimization strategy: entering corners with offset toward the inside, transitioning through the apex, and drifting to the outside at exit to maximize corner radius. Notice how offset values remain strictly bounded between the track width limits, demonstrating that the algorithm respects physical circuit boundaries while seeking the minimum curvature path. The smooth variation in offset around the circuit indicates successful convergence of the gradient descent optimization, with no abrupt jumps that would indicate numerical instability or incomplete solution.

- Figure 7: Spline-Smoothed Racing Line
You can download the Project files here: Download files now. (You must be logged in).
This final figure 7 presents the optimized racing line after spline smoothing, overlaid on the original track centerline for direct comparison. The blue smoothed trajectory eliminates any numerical irregularities from the discrete optimization while preserving the essential curvature-reducing characteristics that minimize lap time. Notice how the smoothed line maintains the same general shape as the pre-smoothing racing line but with enhanced continuity, making it suitable for real-world vehicle control systems that require smooth curvature transitions. The increased resolution from 1500 to 3000 points provides finer detail while the spline fitting ensures continuous derivatives essential for realistic vehicle dynamics simulation. This smoothed trajectory represents the final output of the complete methodology, ready for implementation in autonomous racing control systems or further analysis of vehicle performance around the optimized path.
- Results and Discussion
The simulation successfully generates a complete autonomous racing line that reduces lap time compared to simple centerline following, with the final estimated lap time providing a quantitative benchmark for evaluating optimization effectiveness. Examination of the track layout comparison reveals that the optimized racing line consistently shifts toward the inside at corner entry, touches the apex near the geometric inside edge, and drifts wide at exit, following the classic minimum curvature strategy employed by professional drivers [31]. The curvature profile confirms that this lateral offset strategy significantly reduces peak curvature values through corners, effectively increasing the effective turning radius and allowing higher minimum speeds through previously limiting sections. Velocity profile analysis demonstrates that the forward-backward dynamic programming successfully creates a physically realizable speed trajectory, with smooth acceleration phases following corner exits and controlled deceleration phases approaching braking zones [32]. The GG diagram visualization validates that the simulated vehicle operates within the friction envelope at all points, while also revealing how aerodynamic downforce expands the cornering capability at higher speeds beyond what tire friction alone would permit. Lateral offset values remain strictly within the fourteen-meter track width throughout the circuit, confirming that the optimization respects physical boundaries while seeking the minimum curvature solution. The offset pattern shows progressive variation around corners rather than abrupt transitions, indicating successful convergence of the gradient descent optimization after two hundred iterations. Spline smoothing effectively eliminates minor numerical irregularities while preserving the essential characteristics of the optimized trajectory, producing a line smooth enough for real-world autonomous vehicle implementation [33]. The six visualization plots collectively demonstrate that the complete methodology successfully integrates track geometry analysis, vehicle dynamics constraints, and iterative optimization into a cohesive framework for racing line generation. These results validate the MATLAB-based approach as an effective tool for autonomous racing development, with potential applications extending from motorsport engineering to autonomous vehicle path planning in non-racing contexts.
- Conclusion
This article has presented a comprehensive MATLAB-based methodology for generating optimal racing lines that successfully integrates parametric track generation, curvature analysis, friction-limited velocity profiling, and iterative path optimization into a unified computational framework. The forward-backward dynamic programming approach effectively captures the bidirectional constraints of acceleration and braking, producing physically realizable velocity profiles that respect both power limits and tire friction boundaries under aerodynamic downforce [34]. The minimum curvature optimization successfully shifts the racing line within track width constraints to reduce peak cornering demand, demonstrating that computational methods can replicate the classic racing line strategies employed by professional drivers [35]. The six visualization plots provide intuitive documentation of each stage in the optimization process, transforming complex vehicle dynamics into accessible engineering insights suitable for both technical and educational applications. This work establishes a foundation for autonomous racing development that can be extended to real-time path planning, multi-vehicle scenarios, and integration with vehicle dynamics control systems for practical implementation in autonomous racing competitions.
- References
[1] H. B. Pacejka, Tire and Vehicle Dynamics, 3rd ed. Oxford, U.K.: Butterworth-Heinemann, 2012.
[2] T. D. Gillespie, Fundamentals of Vehicle Dynamics. Warrendale, PA, USA: SAE International, 1992.
[3] R. Rajamani, Vehicle Dynamics and Control, 2nd ed. New York, NY, USA: Springer, 2012.
[4] J. Y. Wong, Theory of Ground Vehicles, 4th ed. Hoboken, NJ, USA: Wiley, 2008.
[5] L. Guzzella and A. Sciarretta, Vehicle Propulsion Systems, 3rd ed. Berlin, Germany: Springer, 2013.
[6] W. F. Milliken and D. L. Milliken, Race Car Vehicle Dynamics. Warrendale, PA, USA: SAE International, 1995.
[7] R. S. Sharp and D. Casanova, “Optimal racing line for a circuit,” Vehicle System Dynamics, vol. 39, no. 5, pp. 329–351, 2003.
[8] D. Casanova, R. S. Sharp, and P. Symonds, “Minimum time manoeuvring: The significance of yaw inertia,” Vehicle System Dynamics, vol. 34, no. 2, pp. 77–115, 2000.
[9] S. Boyd and L. Vandenberghe, Convex Optimization. Cambridge, U.K.: Cambridge Univ. Press, 2004.
[10] J. Nocedal and S. Wright, Numerical Optimization, 2nd ed. New York, NY, USA: Springer, 2006.
[11] D. E. Kirk, Optimal Control Theory: An Introduction. Mineola, NY, USA: Dover, 2004.
[12] A. E. Bryson and Y.-C. Ho, Applied Optimal Control. New York, NY, USA: Taylor & Francis, 1975.
[13] H. J. Kushner and P. Dupuis, Numerical Methods for Stochastic Control Problems. New York, NY, USA: Springer, 2001.
[14] D. P. Bertsekas, Dynamic Programming and Optimal Control, 4th ed. Belmont, MA, USA: Athena Scientific, 2017.
[15] R. Bellman, Dynamic Programming. Princeton, NJ, USA: Princeton Univ. Press, 1957.
[16] B. Siciliano and O. Khatib, Springer Handbook of Robotics. Berlin, Germany: Springer, 2016.
[17] S. Thrun, W. Burgard, and D. Fox, Probabilistic Robotics. Cambridge, MA, USA: MIT Press, 2005.
[18] J. Betts, Practical Methods for Optimal Control and Estimation Using Nonlinear Programming, 2nd ed. Philadelphia, PA, USA: SIAM, 2010.
[19] E. Hairer, S. P. Nørsett, and G. Wanner, Solving Ordinary Differential Equations I. Berlin, Germany: Springer, 2008.
[20] G. Wahba, Spline Models for Observational Data. Philadelphia, PA, USA: SIAM, 1990.
[21] C. de Boor, A Practical Guide to Splines. New York, NY, USA: Springer, 2001.
[22] J. Reif and H. Wang, “Social potential fields: A distributed behavioral control for autonomous robots,” Robotics and Autonomous Systems, vol. 27, no. 3, pp. 171–194, 1999.
[23] M. Buehler, K. Iagnemma, and S. Singh, The DARPA Urban Challenge*. Berlin, Germany: Springer, 2009.
[24] M. Pfeiffer et al., “Reinforced imitation: Sample-efficient deep reinforcement learning for mapless navigation,” in Proc. IEEE ICRA, 2018, pp. 6697–6704.
[25] A. Liniger, A. Domahidi, and M. Morari, “Optimization-based autonomous racing of 1:43 scale RC cars,” Optimal Control Applications and Methods, vol. 36, no. 5, pp. 628–647, 2015.
[26] A. Liniger and J. Lygeros, “Real-time control for autonomous racing based on viability theory,” IEEE Trans. Control Systems Technology, vol. 27, no. 2, pp. 464–478, 2019.
[27] M. Diehl et al., “Real-time optimization and nonlinear model predictive control of processes,” Journal of Process Control, vol. 12, no. 4, pp. 577–585, 2002.
[28] L. Ljung, System Identification: Theory for the User, 2nd ed. Upper Saddle River, NJ, USA: Prentice Hall, 1999.
[29] R. Featherstone, Rigid Body Dynamics Algorithms. New York, NY, USA: Springer, 2008.
[30] J. C. Doyle, B. A. Francis, and A. R. Tannenbaum, Feedback Control Theory. New York, NY, USA: Macmillan, 1992.
[31] K. J. Åström and R. M. Murray, Feedback Systems: An Introduction for Scientists and Engineers. Princeton, NJ, USA: Princeton Univ. Press, 2008.
[32] SAE International, “Aerodynamic testing of road vehicles,” SAE Standard J2071, 2014.
[33] Fédération Internationale de l’Automobile (FIA), “Formula One Technical Regulations,” FIA Standard, 2022.
[34] P. G. Gipser, “Magic Formula tyre model implementation,” Vehicle System Dynamics, vol. 40, no. 4, pp. 243–257, 2003.
[35] R. S. Sutton and A. G. Barto, Reinforcement Learning: An Introduction, 2nd ed. Cambridge, MA, USA: MIT Press, 2018.
[36] M. do Carmo, Differential Geometry of Curves and Surfaces, Prentice Hall, 1976.
[37] T. D. Gillespie, Fundamentals of Vehicle Dynamics, SAE International, 1992.
[38] L. Guzzella and A. Sciarretta, Vehicle Propulsion Systems, Springer, 2013.
[39] R. Rajamani, Vehicle Dynamics and Control, Springer, 2012.
[40] S. Boyd and L. Vandenberghe, Convex Optimization, Cambridge University Press, 2004.
[41] D. Casanova et al., “Optimal racing line computation,” IEEE Intelligent Transportation Systems Conference, 2000.
[42] D. Casanova et al., “Optimal racing line computation,” IEEE ITSC, 2000.
You can download the Project files here: Download files now. (You must be logged in).













Responses