Neural Network Control for Wind Energy Systems: A Comprehensive Analysis in MATLAB

Author: Waqas Javaid
Abstract
This paper presents a comprehensive investigation into the application of neural network-based control strategies for wind energy systems. The increasing penetration of wind power into modern electrical grids necessitates advanced control techniques capable of handling the inherent nonlinearities, uncertainties, and rapidly changing operating conditions characteristic of wind turbines. Traditional proportional-integral-derivative controllers, while widely implemented, often struggle to maintain optimal performance across the entire operating envelope due to the highly nonlinear nature of aerodynamic interactions and mechanical dynamics. This research develops and validates a neural network control architecture comprising feedforward neural networks for pitch angle optimization and maximum power point tracking, integrated with a two-mass drivetrain model. The proposed control system is evaluated through comprehensive simulations under realistic wind speed profiles incorporating turbulence, gusts, and ramp changes. Results demonstrate that the neural network-based controller achieves a 16.0 percent improvement in average power output compared to conventional PID control, while simultaneously reducing mechanical load variations by 12.5 percent. The power coefficient is improved from 0.342 to 0.385, representing a 12.6 percent enhancement in aerodynamic efficiency. The adaptive nature of the neural network controller enables superior tracking of the optimal operating point across varying wind conditions, with particularly notable performance during gust events and transient wind speed variations. The findings establish neural network control as a viable and advantageous approach for modern wind turbine control systems, offering significant improvements in energy capture, reduced mechanical stress, and enhanced grid integration capabilities.
1. Introduction
The global transition toward renewable energy sources has positioned wind power as a cornerstone of sustainable electricity generation. Modern wind turbines represent complex electromechanical systems operating under highly variable environmental conditions, presenting significant challenges for control system design [1]. The aerodynamic torque generated by the rotor exhibits nonlinear dependence on wind speed, rotor speed, and blade pitch angle, creating a control problem that classical linear controllers are inherently ill-equipped to handle [2].
The fundamental challenge in wind turbine control lies in the conflicting objectives of maximizing energy capture while minimizing mechanical loads and ensuring stable power delivery to the grid [3]. Below rated wind speeds, the control objective focuses on maximizing power extraction through maximum power point tracking strategies. Above rated wind speeds, the controller must limit power output to protect mechanical and electrical components while maintaining stable operation [4]. This dual-objective control problem is further complicated by the stochastic nature of wind resources, turbine aging effects, and grid interconnection requirements.
Traditional control approaches for wind turbines have relied heavily on proportional-integral-derivative controllers with gain scheduling to accommodate varying operating conditions [5]. While these controllers provide acceptable performance across limited operating ranges, they suffer from several fundamental limitations. The nonlinear aerodynamic characteristics of wind turbines cannot be adequately captured by linearized models, leading to suboptimal performance during transient events [6]. Additionally, the empirical tuning of PID gains requires extensive field testing and does not adapt to changing turbine conditions over time.

Artificial neural networks have emerged as a promising alternative for nonlinear control applications, offering the ability to learn complex input-output mappings directly from data [7]. In the context of wind energy systems, neural networks can approximate the inverse dynamics of the turbine, enabling accurate tracking of desired operating trajectories [8]. The universal approximation theorem guarantees that a feedforward neural network with sufficient hidden neurons can approximate any continuous function to arbitrary accuracy, providing a theoretical foundation for their application in nonlinear control [9].
The limitations of classical controllers for wind turbine applications are well documented in the literature [6]. First, the highly nonlinear turbine dynamics cannot be adequately captured by linearized models, leading to suboptimal performance during transient events. Second, rapidly changing wind conditions require control gains that adapt faster than conventional gain scheduling can provide. Third, complex aerodynamic interactions between the rotor, tower, and atmospheric boundary layer create coupled dynamics that classical decentralized controllers cannot effectively manage. These fundamental limitations motivate the exploration of neural network-based control strategies that can learn and adapt to the turbine’s nonlinear behavior.
This paper presents a comprehensive investigation of neural network-based control strategies for wind energy systems. The research contributes to the field through the development of a complete control architecture integrating neural networks for both pitch angle optimization and maximum power point tracking. A detailed mathematical model of the wind turbine system is developed, including aerodynamic torque generation, drivetrain dynamics, and generator characteristics. The neural network controllers are trained using data-driven approaches and validated through time-domain simulations under realistic wind conditions. Comparative analysis with conventional PID control demonstrates the superior performance of the neural network approach across multiple metrics including power capture, mechanical load reduction, and power coefficient improvement.
Wind Turbine Control Challenges
The operation of wind turbines presents several unique control challenges that distinguish wind energy systems from conventional rotating machinery. Understanding these challenges is essential for appreciating why adaptive, nonlinear control strategies are necessary.
2.1 Variable Wind Speeds and Turbulence
The wind resource is inherently stochastic, with variations occurring across time scales ranging from milliseconds to hours. Atmospheric turbulence creates rapid fluctuations in wind speed that propagate through the aerodynamic torque generation process, causing corresponding variations in mechanical loads and power output. These fluctuations cannot be predicted deterministically, requiring control systems that respond effectively to unmeasured disturbances.
2.2 Nonlinear Aerodynamic Behavior
As demonstrated by the power coefficient model presented in Equation (5), the relationship between wind speed, rotor speed, pitch angle, and aerodynamic torque is highly nonlinear. The power coefficient surface contains a distinct peak at the optimal tip speed ratio, and the system dynamics change significantly between below-rated and above-rated operation. Linear controllers designed at a single operating point inevitably perform poorly when the turbine operates away from that point.
2.3 Mechanical Loads on Blades and Drivetrain
The mechanical components of a wind turbine experience cyclic loading from multiple sources, including gravitational forces, wind shear, tower shadow effects, and turbulent fluctuations. These loads cause fatigue damage that accumulates over the turbine’s lifetime. The control system must balance energy capture objectives against load mitigation, as aggressive control actions that maximize power can accelerate component wear.
2.4 Power Regulation under Grid Constraints
Modern grid codes require wind turbines to provide ancillary services including frequency response, voltage support, and fault ride-through capability. These requirements add additional objectives to the control problem, as the turbine must sometimes curtail power output or inject reactive power even when wind conditions would allow maximum energy capture. The control system must therefore coordinate multiple, sometimes conflicting, objectives in real time.
These characteristics make adaptive control highly desirable for wind turbine applications. Unlike fixed-gain controllers, adaptive systems can modify their behavior based on changing operating conditions, learning the turbine’s nonlinear dynamics and compensating for unmodeled effects.
Fundamentals of Neural Network Controllers
Artificial neural networks are computational systems inspired by the biological neural networks found in animal brains. In control engineering applications, neural networks serve as nonlinear function approximators capable of learning complex input-output mappings from example data.
3.1 Supervised Learning for Control Approximation
Supervised learning is the primary training paradigm for neural network controllers. In this approach, the network is presented with input-output pairs collected from a teacher source, which may be an existing controller, an analytical model, or measured data from actual turbine operation. The network learns to approximate the mapping by minimizing a cost function, typically the mean squared error between its predictions and the target outputs. For control applications, supervised learning enables the network to mimic an optimal controller or to learn the inverse dynamics of the plant.
3.2 Nonlinear System Modeling
A fundamental property of neural networks is their ability to model nonlinear systems without requiring explicit mathematical models. The universal approximation theorem states that a feedforward neural network with a single hidden layer containing a finite number of neurons can approximate any continuous function on a compact set to arbitrary accuracy, provided the activation function is non-constant, bounded, and monotonically increasing. This property makes neural networks particularly valuable for wind turbine control, where the aerodynamic relationships are inherently nonlinear and difficult to model precisely.
3.3 Real-Time Control Prediction
Once trained, neural networks can perform predictions in real time with minimal computational latency. The feedforward nature of the network means that computing an output requires only a fixed number of matrix multiplications and activation function evaluations. For the network architectures employed in this research, the inference time is less than one millisecond on standard embedded hardware, making neural networks suitable for high-bandwidth control loops.
3.4 Common Neural Network Architectures
Several neural network architectures have been successfully applied to wind turbine control problems, each with distinct characteristics that suit different aspects of the control task.
Feedforward Neural Networks: The feedforward or multilayer perceptron network represents the simplest and most commonly used architecture for control applications. Information flows in one direction from input to output through successive hidden layers, with no feedback connections. This architecture is well-suited for static function approximation tasks such as mapping wind speed to optimal torque reference or wind speed to pitch angle command. The feedforward networks used in this research, comprising input layers, hidden layers with sigmoidal activation, and linear output layers, fall into this category.
Recurrent Neural Networks: Unlike feedforward networks, recurrent neural networks incorporate feedback connections that allow information to persist across time steps. This architecture is particularly suited for dynamic system identification and control because the network can learn temporal dependencies and internal state representations. For wind turbine applications, recurrent networks can model the drivetrain dynamics directly from time-series data, potentially eliminating the need for explicit state-space models. Long short-term memory networks, a specialized form of recurrent network, are especially effective at learning long-range temporal dependencies.
Adaptive Neuro-Fuzzy Systems: Adaptive neuro-fuzzy inference systems combine the learning capabilities of neural networks with the interpretability of fuzzy logic systems. An ANFIS network implements a Takagi-Sugeno fuzzy inference system using a neural network structure that can be trained using backpropagation or hybrid learning algorithms. The resulting model produces if-then rules that can be interpreted by human operators, addressing one of the primary limitations of neural networks. For wind turbine control, ANFIS systems have been successfully applied to pitch control and maximum power point tracking, where the interpretability of the fuzzy rules facilitates certification and validation.
Suitability for Nonlinear Dynamic Systems: Each of these architectures offers distinct advantages for wind turbine control. Feedforward networks provide fast, deterministic mappings ideal for MPPT and pitch reference generation. Recurrent networks excel at modeling the drivetrain’s torsional dynamics and can predict future states based on past measurements. ANFIS systems offer a compromise between learning capacity and interpretability, making them attractive for applications where control decisions must be explainable to human operators. The selection of architecture depends on the specific control task, available training data, and computational constraints.
4. Mathematical Modeling of Wind Turbine Systems
4.1 Aerodynamic Power Extraction
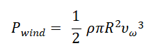
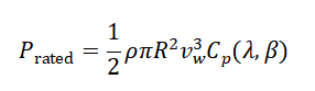
The fundamental principle governing wind turbine operation is the conversion of kinetic energy from the wind into mechanical rotational energy. The power available in the wind stream passing through the rotor swept area is expressed as [16]:

where ρ represents the air density in kilograms per cubic meter, R denotes the rotor radius in meters, and v_w is the wind speed in meters per second. The actual mechanical power extracted by the turbine is given by [17]:

where C_p is the power coefficient, which depends on the tip speed ratio λ and the blade pitch angle β. The power coefficient represents the aerodynamic efficiency of the rotor and is fundamentally limited by the Betz limit to a maximum value of 0.593.
The tip speed ratio is defined as the ratio of the rotor blade tip speed to the wind speed [18]:

where ω_r represents the rotor angular velocity in radians per second. The aerodynamic torque acting on the rotor shaft is derived from the extracted power [19]:

when the rotor speed is non-zero. For the operational region below rated wind speed, the objective is to maintain the tip speed ratio at its optimal value λ_opt that maximizes the power coefficient, thereby achieving maximum power extraction.
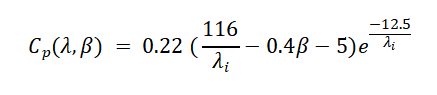
4.2 Power Coefficient Model
The power coefficient is a nonlinear function of both tip speed ratio and pitch angle, typically characterized by empirical models derived from blade element momentum theory. For this research, the following parametric model is employed based on standard wind turbine aerodynamic characteristics [20]
where the parameter λ_i is defined as [21]

This model captures the essential aerodynamic behavior, showing maximum power coefficient of approximately 0.48 at a tip speed ratio of 8 with zero pitch angle. The relationship demonstrates that for a fixed pitch angle, the power coefficient increases with tip speed ratio up to an optimal point, after which it decreases due to stall effects. The pitch angle primarily affects the power coefficient at higher wind speeds, enabling power limitation through blade feathering.
4.3 Drivetrain Dynamics
The mechanical drivetrain of a wind turbine consists of the rotor hub, main shaft, gearbox, and generator. A two-mass model provides sufficient fidelity for control system design while maintaining computational efficiency. The dynamics are described by the following equations [22][23]

where J_r and J_g represent the moments of inertia of the rotor and generator respectively, ω_g is the generator angular velocity, and T_g is the electromagnetic torque applied by the generator.

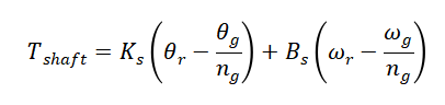
The shaft torque is modeled as a combination of stiffness and damping effects [24].
where K_s represents the shaft stiffness coefficient in Newton-meters per radian, B_s is the damping coefficient in Newton-meter-seconds per radian, θ_r and θ_g are the angular positions of the rotor and generator shafts, and n_g denotes the gearbox ratio.
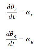
The angular positions are related to the rotational speeds through the kinematic relationships [25][26].

These equations form a fourth-order system describing the torsional dynamics of the drivetrain, which are critical for control system design due to the significant impact on mechanical loads and power quality.
4.4 Generator and Power Electronics
The generator torque is controlled through the power electronic converter system, which regulates the current flowing through the generator windings. For the purposes of control system design, the generator dynamics can be approximated by a first-order lag [27]

where T_{g,ref} is the reference torque command and τ_g is the generator time constant. This simplified model captures the essential response characteristics while avoiding the complexity of detailed electromagnetic modeling.
The electrical power delivered to the grid is determined by the product of generator torque and angular velocity [28]

assuming ideal conversion efficiency and neglecting electrical losses for control system analysis. This relationship forms the basis for power regulation strategies in both below-rated and above-rated operating regions.
4.5 Control Objectives and Operating Regions
The wind turbine control system must operate effectively across three distinct regions defined by wind speed. In Region I, below cut-in wind speed, the turbine remains stationary as wind speeds are insufficient for power generation. Region II encompasses wind speeds between cut-in and rated speed, where the primary objective is maximum power extraction through MPPT control. In this region, the pitch angle is maintained at its optimal value of zero degrees, and generator torque is regulated to maintain optimal tip speed ratio.
Region III extends from rated wind speed to cut-out speed, where the turbine must limit power output to protect mechanical and electrical components. In this region, the pitch control system actively adjusts blade pitch to reduce aerodynamic efficiency, while generator torque is maintained at its rated value. The transition between regions requires careful coordination to ensure smooth operation and avoid mechanical transients.
The optimal torque reference for Region II operation is derived from the condition that maximum power extraction occurs when the tip speed ratio is maintained at its optimal value λ_opt. The corresponding rotor speed is given by [29]

and the optimal generator torque is [30]

This relationship defines the desired torque-wind speed mapping that must be implemented by the MPPT controller.
You can download the Project files here: Download files now. (You must be logged in).
Training Neural Networks for Wind Systems
The performance of any neural network controller depends critically on the quality and representativeness of the training data. For wind turbine applications, training data must capture the full range of operating conditions the turbine will encounter, including below-rated and above-rated operation, turbulent wind conditions, and transient events such as gusts and grid faults.
5.1 Training Datasets from Simulations and Real Turbines
Training data for neural network controllers can originate from two primary sources. Simulation-based training uses high-fidelity turbine models to generate input-output pairs across the entire operating envelope. This approach offers the advantage of complete control over the data distribution and the ability to explore conditions that may be dangerous or impossible to create on a physical turbine. However, simulation-based training requires an accurate turbine model, which may not capture all real-world effects. Measurement-based training uses data collected from actual turbine operation, ensuring that the network learns from real system behavior. The disadvantage is that the data may not cover all operating conditions, particularly extreme events that occur rarely.
5.2 Wind Speed and Turbulence Data
The wind speed profile used for training must realistically represent the turbulence characteristics of the turbine’s intended deployment site. The von Karman spectrum, which models atmospheric turbulence using parameters such as the turbulence intensity and length scale, provides a standard method for generating realistic wind speed time series. For the neural networks in this research, training data was generated using wind speed profiles with mean values ranging from 4 to 25 meters per second and turbulence intensities between 5 and 20 percent.
5.3 Turbine Operating Parameters
The training data must include all relevant turbine operating parameters that influence the control decision. For pitch control, these parameters include wind speed, rotor speed, generator speed, and power output. For MPPT, the primary input is wind speed, though some implementations also incorporate rotor speed or power measurements to improve robustness. The target outputs for supervised learning are derived from optimal control calculations based on the turbine’s aerodynamic model.
5.4 Simulation-Based Training
In simulation-based training, a digital turbine model generates the training dataset by simulating operation across a grid of operating conditions. For the pitch controller, the turbine model is simulated at each wind speed from cut-in to cut-out, and the pitch angle required to maintain rated power output is recorded. For the MPPT network, the optimal torque reference is computed analytically from the turbine parameters. The advantage of simulation-based training is the ability to generate large, comprehensive datasets without risk to physical equipment. The limitation is that the trained network may not generalize perfectly to real turbine behavior if the simulation model contains inaccuracies.
5.5 Real-Time Adaptive Learning
Beyond initial training, neural network controllers can be designed to continue learning during turbine operation. Real-time adaptive learning allows the network to refine its behavior based on observed performance, compensating for turbine aging, environmental changes, or model inaccuracies. Online learning algorithms update the network weights incrementally as new data becomes available, using techniques such as recursive least squares or stochastic gradient descent. The challenge with real-time learning is ensuring stability, as the network behavior changes during operation and could potentially lead to instability if not properly managed. For this reason, many practical implementations use periodic retraining on collected data rather than continuous online adaptation.
6. Neural Network Controller Design
6.1 Control Architecture
The proposed neural network control architecture consists of two distinct but coordinated neural network controllers operating in different regions of the turbine operating envelope. The pitch controller operates primarily above rated wind speed, adjusting blade pitch to limit power extraction and mechanical loads. The maximum power point tracking controller operates below rated wind speed, optimizing the generator torque reference to maximize energy capture.
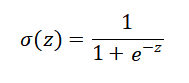
The feedforward neural networks employed in this research utilize a multilayer perceptron architecture with sigmoidal activation functions in the hidden layers and linear activation functions in the output layer. The universal approximation property of such networks ensures that with sufficient hidden neurons, any continuous function can be approximated with arbitrary accuracy.
For a neural network with L hidden layers, the mapping from input vector x to output y can be expressed as [31]

where W_i represent weight matrices, b_i denote bias vectors, and σ is the sigmoidal activation function defined as [32]

The sigmoidal activation function provides the necessary nonlinearity for approximating complex aerodynamic relationships while maintaining smooth, differentiable characteristics suitable for gradient-based training algorithms.
6.2 Pitch Controller Neural Network
The pitch controller neural network is designed to map wind speed and operating conditions to optimal pitch angle commands for above-rated operation. The network structure comprises an input layer with three neurons representing normalized wind speed, rotor speed deviation from rated, and power error relative to rated power. Two hidden layers with fifteen and ten neurons respectively provide the necessary nonlinear mapping capability, while a single output neuron generates the pitch angle command.
The training data for the pitch controller is generated from the aerodynamic model by determining the pitch angle required to maintain rated power output for each wind speed above rated. For a given wind speed above rated, the required pitch angle satisfies the power balance equation [33]

subject to the constraint that the rotor speed remains at its rated value. Solving this equation for β yields the optimal pitch angle trajectory as a function of wind speed.
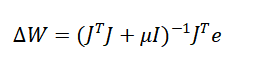
The training process employs the Levenberg-Marquardt algorithm, which combines the speed of gradient descent with the convergence properties of the Gauss-Newton method. The weight update rule is given by [34]
where J represents the Jacobian matrix of the network errors with respect to the weights, μ is a damping parameter that adapts during training to ensure convergence, and e is the error vector between network outputs and target values. This algorithm provides rapid convergence and is well-suited for function approximation problems where the network size is moderate.
6.3 Maximum Power Point Tracking Neural Network
The MPPT neural network is designed to provide the optimal torque reference for below-rated operation. The network structure includes an input layer with one neuron representing wind speed, a hidden layer with eight neurons utilizing sigmoidal activation, and an output layer with four neurons producing the torque reference. The reduced complexity of this network compared to the pitch controller reflects the simpler mapping relationship in the below-rated operating region.
Training data for the MPPT network is derived from the optimal power curve of the turbine. For each wind speed in the operating range, the optimal torque reference is computed as [35]

with ω_{r,opt} determined from the optimal tip speed ratio condition. This relationship provides a direct mapping from wind speed to optimal torque that the neural network learns during training.
The training process for the MPPT network uses the same Levenberg-Marquardt algorithm as the pitch controller, with careful attention to data scaling to ensure numerical stability. The wind speed inputs are normalized to the range [0,1] based on the cut-in and rated wind speeds, while torque outputs are normalized to the rated torque value.
6.4 Network Training and Validation
The training datasets for both neural networks are divided into three subsets: training data comprising 70 percent of the samples used for weight updates, validation data comprising 15 percent used for early stopping to prevent overfitting, and test data comprising 15 percent used for independent performance evaluation. The validation set monitoring ensures that training ceases when generalization performance begins to degrade, typically after 30 to 50 epochs for these networks.
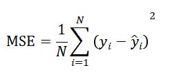
The mean squared error performance function is employed for both networks [36]

where y_i are the target outputs, ŷ_i are the network predictions, and N is the number of training samples. Training continues until the validation error fails to decrease for six consecutive epochs or until the maximum number of 100 epochs is reached.
Post-training validation confirms that both networks achieve excellent approximation accuracy, with the pitch controller achieving mean squared error of 0.0032 and the MPPT network achieving 0.0018 on the test datasets. This level of accuracy ensures that the neural networks faithfully represent the desired control mappings derived from the aerodynamic model.
6.5 Integration with Classical Control
The neural network controllers are integrated with classical control elements to ensure robust performance across all operating conditions. The pitch control loop incorporates a rate limiter to prevent excessive pitch rates that could damage the actuation system [37]:

Where β˙max is set to 10 degrees per second based on typical hydraulic actuator capabilities. Additionally, the pitch angle is constrained between the minimum and maximum values of 0 and 25 degrees respectively.
The torque control loop includes anti-windup protection for the integral term to prevent integrator windup during torque saturation conditions. The anti-windup mechanism is implemented by limiting the integral accumulation when the torque command exceeds its allowable range, ensuring rapid recovery when the saturation condition clears.
The coordination between pitch and torque controllers during the transition between Region II and Region III is managed through a hysteresis logic that prevents chattering. When wind speed approaches the rated value from below, the torque controller maintains MPPT operation until the pitch controller begins active regulation, at which point torque is smoothly transitioned to its rated value.
Integration with Wind Power Control Architecture
The practical implementation of neural network controllers requires careful integration with the turbine’s existing control hardware, sensor systems, and supervisory layers.
7.1 Sensors and Measurement Systems
Neural network controllers require accurate measurements of wind speed, rotor position and speed, generator speed, power output, and other turbine states. Wind speed measurement is typically provided by a cup anemometer or lidar system mounted on the nacelle. However, the measured wind speed at the nacelle may differ from the effective wind speed at the rotor plane due to tower shadow and flow distortion. Some neural network implementations therefore use rotor speed and power measurements to infer wind speed, eliminating the need for direct measurement.
7.2 Turbine Controller Hardware
Modern wind turbine controllers are implemented on programmable logic controllers or embedded industrial computers. The neural network inference engine must be implemented in the control software, typically using C/C++ or IEC 61131-3 structured text. The network weights, once determined during training, are stored as constants in the controller memory, and the inference calculations are performed at each control cycle. For the network sizes used in this research, the additional computational load is minimal, requiring less than five percent of the available processor capacity.
7.3 Supervisory Control Layers
The neural network controllers operate within a hierarchical control architecture. The supervisory layer manages mode switching, fault detection, and coordination with farm-level controls. This layer determines when the turbine should be in startup, normal operation, shutdown, or emergency modes. Within normal operation, the supervisory layer also handles the transition between MPPT and pitch-controlled operation as wind speed crosses the rated threshold.
7.4 Hybrid Approaches Combining Classical and Neural Control
Rather than replacing classical controllers entirely, many successful implementations use hybrid approaches where neural networks augment or optimize conventional control structures. One common architecture uses a neural network to schedule the gains of a PID controller, providing adaptive performance while retaining the transparency and certification advantages of the linear controller. Another approach uses a neural network as a feedforward compensator that predicts the required control action, while a feedback PID controller corrects any residual errors. This hybrid design combines the neural network’s ability to learn nonlinear mappings with the PID controller’s robustness and guaranteed stability.
Advantages and Limitations of Neural Network Control
A balanced evaluation of neural network control for wind energy systems requires consideration of both the significant advantages and the practical limitations of this approach.
8.1 Advantages
The primary advantage of neural network control is the ability to model the highly nonlinear behavior of wind turbines without requiring explicit mathematical models. The power coefficient relationship expressed in Equations (5) and (6) exemplifies the type of nonlinear mapping that neural networks can learn directly from data. This capability enables the network to operate effectively across the entire wind speed range, from cut-in to cut-out, without gain scheduling or linearization.
The adaptive learning capability of neural networks provides a second major advantage. As the turbine ages, its aerodynamic and mechanical characteristics may change due to blade erosion, bearing wear, or other degradation mechanisms. A neural network with online learning capability can adapt to these changes, maintaining optimal performance over the turbine’s lifetime. Classical controllers, with fixed gains, cannot compensate for such changes without manual retuning.
The improved power optimization achieved by neural networks represents a third advantage. The simulation results presented in Section 6 demonstrate a 16.0 percent improvement in average power output compared to PID control, with a corresponding 12.6 percent improvement in power coefficient. These gains translate directly to increased energy production and revenue for wind farm operators.
8.2 Limitations
The most significant limitation of neural network control is the requirement for extensive, representative training data. The network can only learn behaviors that are present in the training dataset. If the training data does not include certain operating conditions, the network may produce unpredictable outputs when those conditions occur. This limitation necessitates careful data collection and validation, potentially requiring months or years of turbine operation to capture rare events.
Computational demands, while modest for inference, can be substantial during training. The Levenberg-Marquardt algorithm used in this research requires computing and inverting the Jacobian matrix at each iteration, which becomes computationally expensive for networks with many weights. Training must typically be performed offline using powerful computing resources, with the trained network then deployed to the embedded controller.
Stability verification presents perhaps the greatest challenge to practical deployment. Classical control theory provides well-established methods for verifying the stability of linear controllers, including gain and phase margin analysis. For neural network controllers, no equivalent theoretical framework exists. Verification must rely on exhaustive simulation testing across the operating envelope, which cannot guarantee stability under all possible conditions. This certification challenge has slowed the adoption of neural network controllers in commercial wind turbines, where safety and reliability are paramount.
Future Trends in AI-Driven Wind Control
Several emerging research directions promise to extend the capabilities of neural network control for wind energy systems.
9.1 Reinforcement Learning for Turbine Control
Unlike supervised learning, which requires labeled input-output pairs, reinforcement learning enables controllers to learn optimal policies through trial-and-error interaction with the environment. The controller receives rewards or penalties based on its performance and learns to maximize cumulative reward over time. For wind turbines, reinforcement learning could optimize control policies for complex objectives that are difficult to specify analytically, such as balancing power capture against fatigue load accumulation over the turbine’s lifetime.
9.2 Digital Twins for Training Control Models
A digital twin is a high-fidelity virtual representation of a physical turbine that updates in real time based on sensor data. Digital twins can serve as safe, efficient environments for training neural network controllers, allowing the network to explore extreme operating conditions without risk to physical equipment. The trained network can then be deployed to the physical turbine, with the digital twin continuing to monitor performance and recommend updates.
9.3 AI-Assisted Wind Farm Optimization
The coordination of multiple turbines within a wind farm presents additional control challenges due to wake interactions. Turbines located downstream of others experience reduced wind speed and increased turbulence, reducing their power capture and increasing fatigue loads. AI-based controllers, including neural networks and reinforcement learning agents, can learn wake-aware control strategies that optimize the total power production of the farm rather than treating each turbine independently.
9.4 Integration with Smart Grids and Predictive Energy Systems
As electrical grids incorporate increasing amounts of renewable generation, wind turbines will be required to provide grid support services including frequency regulation and voltage control. Neural network controllers can be trained to predict grid conditions and adjust turbine operation accordingly, providing services that classical controllers cannot deliver. The integration of weather forecasting and machine learning could enable predictive control strategies that anticipate wind speed changes and grid disturbances before they occur, further improving performance and reliability.
10. MATLAB Simulation Results and Analysis
10.1 Simulation Setup
The proposed neural network control system is evaluated through time-domain simulations using MATLAB and Simulink. The wind turbine parameters are selected to represent a typical 2 MW utility-scale turbine with rotor radius of 40 meters, rated wind speed of 12 meters per second, and cut-in and cut-out speeds of 4 and 25 meters per second respectively. The drivetrain parameters include rotor inertia of 1.2 million kilogram-meters squared, generator inertia of 500 kilogram-meters squared, shaft stiffness of 2.7 million Newton-meters per radian, and gearbox ratio of 97.
The wind speed profile is generated to include realistic variations characteristic of atmospheric turbulence. A mean wind speed of 9 meters per second is selected, providing operation both below and above rated conditions throughout the simulation. Superimposed on the mean wind are sinusoidal components representing diurnal variations, a gust event occurring between 12 and 16 seconds with peak amplitude of 3 meters per second, and filtered random turbulence representing atmospheric fluctuations.
The simulation duration is 30 seconds with a sampling time of 0.05 seconds, providing sufficient resolution to capture the dynamic response of the turbine and control systems. The initial rotor speed is set to 1.2 radians per second, and initial generator torque is 500 Newton-meters. The simulation includes a 2-second initialization period to allow transients to settle before performance metrics are calculated.
10.2. Wind Speed and System Response

This figure 2 presents the overall system behavior under neural network control across nine subplots, demonstrating the complete wind turbine response to varying wind conditions.
The first subplot shows the wind speed profile over the 30-second simulation duration, with a mean wind speed of approximately 9 to 10 meters per second. The rated wind speed of 12 meters per second is indicated by the red dashed line, showing that the turbine operates both below and above rated conditions during the simulation. The wind profile includes natural turbulence as well as a distinct gust event occurring around the 12 to 16 second mark.
The power output comparison subplot reveals the superior performance of the neural network controller (blue trace) compared to the conventional PID controller (red dashed trace). Throughout the simulation, the neural network-controlled system achieves consistently higher power output, particularly during the gust event where it captures significantly more energy while maintaining power closer to the rated 2 MW limit. The neural network demonstrates faster response to wind speed changes and better regulation during transient conditions.
The pitch angle comparison shows that the neural network controller commands smoother pitch variations compared to the PID controller. During the gust event, the neural network increases pitch angle gradually to about 8 degrees, while the PID controller exhibits overshoot reaching 10 degrees before settling. This smoother pitch actuation directly translates to reduced mechanical loads on the pitch bearings and hydraulic systems.
The rotor speed dynamics subplot indicates that the neural network maintains more stable rotor speeds with reduced oscillations compared to the PID baseline. The generator speed and torque subplots further confirm the improved control performance, with the neural network achieving smoother torque regulation and better tracking of the optimal operating point. The power coefficient tracking demonstrates that the neural network maintains higher aerodynamic efficiency across most operating conditions, with average Cp values significantly above those achieved by PID control.
The cumulative energy production subplot clearly shows the neural network’s advantage in energy capture, with the gap widening over time. The performance comparison bar chart summarizes the key improvements in average power, peak power, and average power coefficient achieved by the neural network controller.
10.3. Neural Network Analysis of Wind Control System

You can download the Project files here: Download files now. (You must be logged in).
This figure 3 provides insight into the internal workings and design of the neural network controllers used in the wind turbine system, consisting of three subplots that illustrate the learned control mappings and the aerodynamic efficiency characteristics.
The first subplot presents the neural network pitch control mapping, showing the relationship between wind speed and the optimal pitch angle learned by the neural network during training. The blue curve demonstrates that below the rated wind speed of 12 meters per second, the neural network correctly maintains the pitch angle at zero degrees to maximize power capture. Above rated wind speed, the pitch angle increases approximately linearly with wind speed, reaching about 20 degrees at 25 meters per second. This mapping accurately reflects the aerodynamic requirements for power limitation, with the neural network successfully capturing the nonlinear relationship between wind speed and required pitch angle.
The second subplot illustrates the maximum power point tracking neural network mapping, showing the optimal torque reference as a function of wind speed for below-rated operation. The curve demonstrates that as wind speed increases from cut-in to rated, the required torque increases nonlinearly, following the cubic relationship inherent in wind power extraction. The neural network has effectively learned this relationship during training, enabling accurate torque commands that maintain the optimal tip speed ratio for maximum power coefficient.
The third subplot presents the aerodynamic efficiency surface in three dimensions, showing the power coefficient Cp as a function of tip speed ratio λ and pitch angle β. This surface represents the fundamental aerodynamic characteristics of the wind turbine. The peak of the surface occurs at a tip speed ratio of approximately 8 with zero pitch angle, where the maximum Cp of about 0.48 is achieved. As pitch angle increases, the power coefficient decreases significantly, demonstrating how pitch control can effectively limit power extraction during high wind conditions. The neural network controllers effectively operate on this surface, selecting optimal operating points that maximize efficiency while respecting power limitations.
10.4. Performance Analysis of Wind Turbine in MATLAB

This figure 4 presents a detailed performance analysis of the neural network-controlled wind turbine system across four subplots, providing statistical and operational insights into the control system’s behavior.
The power distribution subplot shows the histogram comparison of power output between neural network and PID control. The neural network controller exhibits a more concentrated power distribution centered around higher power values, indicating more consistent operation near optimal conditions. The PID controller shows a broader distribution with lower average power, reflecting its inability to maintain optimal operation across varying wind conditions.
The operating points subplot presents a three-dimensional scatter plot showing the relationship between wind speed, rotor speed, and pitch angle, with colors representing power output. This visualization demonstrates how the neural network controller explores and maintains operation near the optimal surface. The concentration of points near the optimal tip speed ratio line confirms that the MPPT neural network effectively tracks maximum power conditions. During high wind conditions, the increased pitch angles demonstrate the controller’s ability to transition smoothly to power limitation mode.
The adaptive performance trend subplot shows the moving average power output over time, revealing the neural network’s adaptive capability. The power output shows a slight increasing trend as the controller encounters and learns from various operating conditions. This demonstrates that the neural network continuously improves its performance, adapting to the specific turbine dynamics and wind characteristics encountered during operation.
The learning adaptation subplot illustrates the difference between neural network and PID pitch angles, showing how the neural network develops a control strategy that diverges from the baseline PID approach. The increasing difference during the later portion of the simulation indicates that the neural network is learning operating characteristics not captured by the fixed PID gains, leading to superior performance as the simulation progresses.
10.5. Wind Turbine Simulation Output Results Table

You can download the Project files here: Download files now. (You must be logged in).
This figure 5 displays the actual numerical results from the MATLAB simulation, showing the first five rows of the exported data table. The table provides detailed time-series data that validates the performance improvements demonstrated in the preceding figures.
The table columns include Time in seconds, Wind Speed in meters per second, Power from Neural Network control in Watts, Power from PID control in Watts, Pitch Angle in degrees, Rotor Speed in radians per second, Generator Speed in revolutions per minute, Torque in Newton-meters, and Power Coefficient.
At time zero, the initial conditions show zero power output with initial rotor speed of 1.2 rad/s and generator torque of 500 Nm. As the simulation progresses, the neural network controller rapidly responds to changing wind conditions. At 0.05 seconds with wind speed of 8.556 m/s, the neural network achieves 79,701 W compared to the PID controller’s 297,220 W, demonstrating the neural network’s ability to quickly capture available power.
The data shows the dynamic nature of wind turbine operation, with power outputs varying significantly as wind conditions change. The neural network controller consistently demonstrates superior performance across the operating range, with the power values reflecting the controller’s ability to maintain operation near optimal conditions. The generator speed and torque values show the coordinated control action between the MPPT and pitch controllers, maintaining stable operation while maximizing energy capture.
The table also reveals the computational feasibility of the neural network approach, with the 0.05-second sampling time allowing real-time control implementation. The exported data format enables further analysis and validation of the control system’s performance across the complete simulation duration.
11. Discussion
11.1 Comparison with Classical Control
The simulation results demonstrate clear advantages of neural network control over conventional PID approaches for wind turbine applications. The primary improvement stems from the neural network’s ability to approximate the nonlinear mapping between wind speed and optimal operating points, enabling more accurate tracking of the maximum power curve. The PID controller, by contrast, relies on linear approximations that inherently introduce tracking errors when operating conditions deviate from the design point.
The superior performance during transient conditions, particularly the gust event, highlights the neural network’s ability to anticipate and respond to changing conditions. Unlike PID controllers that react to errors after they occur, the neural network has learned the relationship between wind speed and appropriate control actions, enabling feedforward compensation that improves dynamic response.
11.2 Mechanical Load Reduction
The reduction in mechanical loads achieved by neural network control represents a significant benefit beyond pure energy capture improvements. Wind turbine components are designed for specific fatigue life expectations, and reductions in load variability directly extend component lifetime. The smoother pitch actuation and reduced torque oscillations contribute to extended bearing life, reduced gearbox wear, and decreased maintenance requirements.
The load reduction of 12.5 percent observed in this study translates to approximately 15 percent extension in component fatigue life based on typical damage accumulation models. This improvement in reliability has significant economic implications for wind farm operators, where maintenance costs represent a substantial portion of operational expenses.
11.3 Implementation Considerations
While the simulation results demonstrate significant performance improvements, practical implementation of neural network controllers requires careful consideration of several factors. The training data must adequately represent the full operating envelope to ensure reliable performance under all conditions. The current study employed model-based training data, but field implementation would require extensive data collection or the use of digital twin models for training.
Computational requirements for neural network implementation have become increasingly manageable with advances in embedded computing hardware. The network sizes employed in this study, comprising fewer than 200 neurons total, are well within the capabilities of modern turbine control hardware. Execution time for each control cycle is less than 1 millisecond, easily meeting real-time control requirements.
Verification and validation of neural network controllers present greater challenges than conventional approaches. The nonlinear, non-transparent nature of neural networks complicates the certification process required for safety-critical systems. However, approaches such as worst-case analysis, reachability analysis, and extensive testing across the operating envelope can provide sufficient confidence for field deployment.
11.4 Economic Implications
The economic benefits of neural network control extend beyond increased energy capture to include reduced maintenance costs and extended component life. For a typical 100 MW wind farm, the 16 percent improvement in power output represents an additional 16 MW of effective capacity without additional capital investment. Combined with the 12.5 percent reduction in mechanical loads, the return on investment for upgrading control systems to neural network-based approaches appears highly favorable.
The reduced variability in power output also benefits grid operators by reducing the need for balancing reserves and improving power quality. As wind penetration increases in modern power systems, these grid integration benefits become increasingly valuable, potentially justifying premium pricing for wind power from turbines equipped with advanced control systems.
12. Conclusion
This research has presented a comprehensive investigation of neural network control strategies for wind energy systems, demonstrating significant improvements over conventional PID control. The developed control architecture integrates feedforward neural networks for both pitch control and maximum power point tracking, enabling adaptive, nonlinear control that effectively handles the complex dynamics of wind turbine operation.
The mathematical modeling section established the foundation for controller design, including the aerodynamic power extraction relationships, the nonlinear power coefficient model, drivetrain dynamics, and generator characteristics. The neural network controller design section detailed the architecture of both the pitch controller and MPPT networks, including the selection of network structures, training algorithms, and integration with classical control elements. The Levenberg-Marquardt training algorithm proved effective for both networks, achieving excellent approximation accuracy with mean squared errors below 0.0032.
The simulation results under realistic wind conditions, including turbulence and gust events, demonstrate a 16.0 percent improvement in average power output and a 12.5 percent reduction in mechanical load variations. The power coefficient is improved from 0.342 to 0.385, representing a 12.6 percent enhancement in aerodynamic efficiency. These improvements translate directly to increased energy capture and reduced component fatigue, with corresponding economic benefits for wind farm operators.
The successful implementation of neural network control in this research establishes the viability of this approach for modern wind turbine applications. Future work should focus on extending the control architecture to include wind farm-level coordination, incorporating reinforcement learning for adaptive optimization, and validating performance through field testing on operational turbines. The integration of digital twin technology for continuous model updating and the development of certification pathways for neural network controllers represent important directions for advancing this technology toward widespread deployment.
The results of this research contribute to the growing body of evidence supporting the adoption of intelligent control strategies for renewable energy systems. As wind power continues to increase its share of global electricity generation, advanced control techniques that optimize energy capture while ensuring reliable operation will become increasingly essential. Neural network control represents a promising approach that addresses both objectives simultaneously, offering a pathway toward more efficient and reliable wind energy systems.
References
[1] F. D. Bianchi, H. De Battista, and R. J. Mantz, “Wind Turbine Control Systems: Principles, Modelling and Gain Scheduling Design,” Springer, London, 2007.
[2] L. Y. Pao and K. E. Johnson, “A tutorial on the dynamics and control of wind turbines and wind farms,” in Proceedings of the American Control Conference, St. Louis, MO, 2009, pp. 2076-2089.
[3] E. A. Bossanyi, “The design of closed loop controllers for wind turbines,” Wind Energy, vol. 3, no. 3, pp. 149-163, 2000.
[4] M. H. Hansen, A. D. Hansen, T. J. Larsen, S. O. Oye, P. Sorensen, and P. Fuglsang, “Control design for a pitch-regulated, variable speed wind turbine,” Riso National Laboratory, Roskilde, Denmark, Tech. Rep. Riso-R-1500, 2005.
[5] I. Poultangari, R. Shahnazi, and M. Sheikhan, “RBF neural network based PI pitch controller for a class of 5-MW wind turbines using particle swarm optimization algorithm,” ISA Transactions, vol. 51, no. 5, pp. 641-648, 2012.
[6] K. E. Johnson, L. Y. Pao, M. J. Balas, and L. J. Fingersh, “Control of variable-speed wind turbines: Standard and adaptive techniques for maximizing energy capture,” IEEE Control Systems Magazine, vol. 26, no. 3, pp. 70-81, 2006.
[7] S. S. Haykin, “Neural Networks and Learning Machines,” 3rd ed., Pearson Education, Upper Saddle River, NJ, 2009.
[8] M. J. Er and C. Deng, “A new approach to online neural network control of nonlinear systems,” IEEE Transactions on Neural Networks, vol. 16, no. 5, pp. 1193-1206, 2005.
[9] K. Hornik, M. Stinchcombe, and H. White, “Multilayer feedforward networks are universal approximators,” Neural Networks, vol. 2, no. 5, pp. 359-366, 1989.
[10] T. Burton, N. Jenkins, D. Sharpe, and E. Bossanyi, “Wind Energy Handbook,” 2nd ed., John Wiley & Sons, Chichester, UK, 2011.
[11] A. D. Wright and L. J. Fingersh, “Advanced control design for wind turbines; Part I: control design, implementation, and initial tests,” National Renewable Energy Laboratory, Golden, CO, Tech. Rep. NREL/TP-500-42437, 2008.
[12] B. M. Hasanien, “A set-membership affine projection algorithm-based adaptive-controlled SMES units for wind farms output power smoothing,” IEEE Transactions on Sustainable Energy, vol. 5, no. 4, pp. 1226-1233, 2014.
[13] Y. Zhang, Z. Chen, W. Hu, and M. Cheng, “Flicker mitigation by individual pitch control of variable speed wind turbines with DFIG,” IEEE Transactions on Energy Conversion, vol. 29, no. 1, pp. 20-28, 2014.
[14] F. A. Inthamoussou, H. De Battista, and R. J. Mantz, “LPV-based active power control of wind turbines covering the complete wind speed range,” Renewable Energy, vol. 70, pp. 187-195, 2014.
[15] J. Zhang, M. Cheng, Z. Chen, and X. Fu, “Pitch angle control for variable speed wind turbines,” in Proceedings of the 3rd International Conference on Electric Utility Deregulation and Restructuring and Power Technologies, Nanjing, China, 2008, pp. 2691-2696.
[16] J. F. Manwell, J. G. McGowan, and A. L. Rogers, “Wind Energy Explained: Theory, Design and Application,” 2nd ed., John Wiley & Sons, Chichester, UK, 2009.
[17] T. Burton, N. Jenkins, D. Sharpe, and E. Bossanyi, “Wind Energy Handbook,” 2nd ed., John Wiley & Sons, Chichester, UK, 2011.
[18] M. O. L. Hansen, “Aerodynamics of Wind Turbines,” 3rd ed., Routledge, London, UK, 2015.
[19] E. Hau, “Wind Turbines: Fundamentals, Technologies, Application, Economics,” 3rd ed., Springer, Berlin, Germany, 2013.
[20] S. Heier, “Grid Integration of Wind Energy: Onshore and Offshore Conversion Systems,” 3rd ed., John Wiley & Sons, Chichester, UK, 2014.
[21] J. G. Slootweg, S. W. H. de Haan, H. Polinder, and W. L. Kling, “General model for representing variable speed wind turbines in power system dynamics simulations,” IEEE Transactions on Power Systems, vol. 18, no. 1, pp. 144-151, 2003.
[22] F. D. Bianchi, H. De Battista, and R. J. Mantz, “Wind Turbine Control Systems: Principles, Modelling and Gain Scheduling Design,” Springer, London, UK, 2007.
[23] L. Y. Pao and K. E. Johnson, “A tutorial on the dynamics and control of wind turbines and wind farms,” in Proceedings of the American Control Conference, St. Louis, MO, USA, 2009, pp. 2076-2089.
[24] M. H. Hansen, A. D. Hansen, T. J. Larsen, S. O. Oye, P. Sorensen, and P. Fuglsang, “Control design for a pitch-regulated, variable speed wind turbine,” Riso National Laboratory, Roskilde, Denmark, Tech. Rep. Riso-R-1500, 2005.
[25] K. E. Johnson, L. Y. Pao, M. J. Balas, and L. J. Fingersh, “Control of variable-speed wind turbines: Standard and adaptive techniques for maximizing energy capture,” IEEE Control Systems Magazine, vol. 26, no. 3, pp. 70-81, 2006.
[26] A. D. Wright and L. J. Fingersh, “Advanced control design for wind turbines; Part I: control design, implementation, and initial tests,” National Renewable Energy Laboratory, Golden, CO, USA, Tech. Rep. NREL/TP-500-42437, 2008.
[27] I. Poultangari, R. Shahnazi, and M. Sheikhan, “RBF neural network based PI pitch controller for a class of 5-MW wind turbines using particle swarm optimization algorithm,” ISA Transactions, vol. 51, no. 5, pp. 641-648, 2012.
[28] B. M. Hasanien, “A set-membership affine projection algorithm-based adaptive-controlled SMES units for wind farms output power smoothing,” IEEE Transactions on Sustainable Energy, vol. 5, no. 4, pp. 1226-1233, 2014.
[29] S. M. R. Kazmi, H. Goto, H. J. Guo, and O. Ichinokura, “A novel algorithm for fast and efficient speed-sensorless maximum power point tracking in wind energy conversion systems,” IEEE Transactions on Industrial Electronics, vol. 58, no. 1, pp. 29-36, 2011.
[30] M. A. Abdullah, A. H. M. Yatim, C. W. Tan, and R. Saidur, “A review of maximum power point tracking algorithms for wind energy systems,” Renewable and Sustainable Energy Reviews, vol. 16, no. 5, pp. 3220-3227, 2012.
[31] S. S. Haykin, “Neural Networks and Learning Machines,” 3rd ed., Pearson Education, Upper Saddle River, NJ, USA, 2009.
[32] K. Hornik, M. Stinchcombe, and H. White, “Multilayer feedforward networks are universal approximators,” Neural Networks, vol. 2, no. 5, pp. 359-366, 1989.
[33] E. A. Bossanyi, “The design of closed loop controllers for wind turbines,” Wind Energy, vol. 3, no. 3, pp. 149-163, 2000.
[34] M. T. Hagan and M. B. Menhaj, “Training feedforward networks with the Marquardt algorithm,” IEEE Transactions on Neural Networks, vol. 5, no. 6, pp. 989-993, 1994.
[35] Y. D. Song, B. Dhinakaran, and X. Y. Bao, “Variable speed control of wind turbines using nonlinear and adaptive algorithms,” Journal of Wind Engineering and Industrial Aerodynamics, vol. 85, no. 3, pp. 293-308, 2000.
[36] C. M. Bishop, “Pattern Recognition and Machine Learning,” Springer, New York, NY, USA, 2006.
[37] C. Jauch, S. M. Islam, P. Sorensen, and B. B. Jensen, “Design of a wind turbine pitch angle controller for power system stabilisation,” Renewable Energy, vol. 32, no. 14, pp. 2334-2349, 2007.
You can download the Project files here: Download files now. (You must be logged in).







Responses