Network Intrusion Detection Made Smarter, Leveraging Random Committee Ensembles for Accurate Threat Detection Using Matlab

Author : Waqas Javaid
Abstract
With the rapid growth of networked systems, securing digital infrastructure from cyber-attacks has become a critical challenge. This study presents a machine learning-based network intrusion detection system using Random Committee ensembles to enhance detection accuracy and robustness. By combining multiple weak learners, the ensemble approach effectively captures complex patterns in network traffic, distinguishing between normal and malicious activity [1]. The proposed system is evaluated using multiple performance metrics, including accuracy, precision, recall, F1-score, and AUC, ensuring a comprehensive assessment of its effectiveness. Feature importance analysis highlights the most influential network parameters for intrusion detection. Extensive testing demonstrates the model’s ability to reduce false positives and improve detection rates compared to conventional methods [2]. Six separate visualization outputs, including confusion matrix, ROC curve, and error distribution, provide clear insights into system performance. Cross-validation further confirms the model’s stability and generalization capability [3]. The results indicate that Random Committee ensembles offer a promising approach for real-time network security monitoring. This research contributes to the advancement of intelligent cybersecurity solutions and provides a scalable framework for future studies [4].
Introduction
In today’s interconnected world, the rapid expansion of computer networks has brought unprecedented convenience, but it has also significantly increased the risk of cyber-attacks and unauthorized access.

Figure 1 presents a machine learning-based network intrusion detection system using Random Committee ensembles, illustrating key performance metrics and cybersecurity threat analysis. Organizations face constant threats from intruders attempting to exploit vulnerabilities in network infrastructure, which can result in data breaches, financial losses, and operational disruptions [5]. Traditional signature-based intrusion detection systems often struggle to identify novel or sophisticated attacks, highlighting the need for intelligent, adaptive solutions [6]. Machine learning techniques have emerged as powerful tools for enhancing network security by automatically analyzing patterns in network traffic and detecting anomalies. Among these techniques, ensemble learning methods, such as Random Committee ensembles, have gained attention due to their ability to combine multiple weak classifiers into a strong predictive model. By leveraging the diversity of base learners, Random Committee ensembles improve detection accuracy and reduce the likelihood of false positives, making them well-suited for real-time intrusion detection [7]. This approach not only evaluates individual network features but also captures complex interactions between them, providing a more comprehensive understanding of potential threats. Multi-metric evaluation, including accuracy, precision, recall, F1-score, and AUC, ensures that the system’s performance is assessed from multiple perspectives, reflecting its effectiveness in practical scenarios. Feature importance analysis further identifies critical network parameters that contribute most to detecting malicious activity. Visualization of results through separate plots, such as confusion matrices and ROC curves, aids in interpreting model behavior and validating its reliability [8]. Additionally, cross-validation techniques ensure the model’s stability and generalizability across different datasets, strengthening confidence in its deployment. The proposed Random Committee-based intrusion detection system represents a scalable and adaptable framework that can evolve with emerging cyber threats. By integrating ensemble learning with comprehensive evaluation metrics, the system addresses limitations of conventional detection methods and provides actionable insights for network administrators [9]. This research underscores the significance of intelligent machine learning solutions in modern cybersecurity strategies. The study aims to bridge the gap between academic research and practical applications, offering a methodology that can be adopted in various network environments [10]. Overall, the combination of ensemble learning, multi-metric evaluation, and feature analysis presents a robust approach to proactive network defense, ensuring improved security and resilience. The findings of this study contribute to ongoing advancements in intelligent intrusion detection systems, highlighting the potential of Random Committee ensembles to enhance real-time threat detection capabilities [11].
1.1 Growing Need for Network Security
With the rapid expansion of digital networks, organizations and individuals are increasingly exposed to cyber threats. The growth of internet-connected devices, cloud computing, and IoT applications has made sensitive data more vulnerable to attacks [12]. Network infrastructures, if left unsecured, can be exploited by hackers, causing severe financial and reputational damage. Traditional security measures, such as firewalls and antivirus programs, are no longer sufficient to detect sophisticated intrusions. This has led to the growing demand for advanced systems that can monitor network traffic intelligently. Network Intrusion Detection Systems (NIDS) aim to identify malicious activities and prevent potential breaches. Machine learning techniques have emerged as a critical solution in this domain [13]. By automatically analyzing patterns, they can detect unusual or suspicious network behavior. The need for intelligent, adaptive detection systems is now a priority for cybersecurity professionals. Random Committee ensembles provide one such solution, offering robustness against evolving cyber threats.
1.2 Limitations of Traditional Intrusion Detection
Conventional signature-based intrusion detection systems rely on pre-defined attack patterns. While effective against known threats, these systems often fail to identify new or sophisticated attacks. Zero-day exploits and polymorphic malware can bypass traditional detection methods. Moreover, signature-based approaches require continuous updates, which is resource-intensive. High false-positive rates are another significant limitation, overwhelming security analysts with unnecessary alerts [14]. Network environments today are highly dynamic, making static rule-based systems insufficient. This limitation motivates the integration of machine learning for real-time threat analysis. Intelligent NIDS can adapt to changing network traffic patterns and recognize anomalies [15]. Random Committee ensembles, in particular, address these limitations by combining multiple classifiers to enhance accuracy. The ensemble approach reduces the chances of misclassification and improves overall system reliability.
1.3 Role of Machine Learning in Cybersecurity
Machine learning has revolutionized network intrusion detection by enabling automated threat recognition. Supervised learning algorithms can classify network traffic as normal or malicious based on historical data. Unsupervised learning methods detect anomalies without predefined labels, useful for novel attack detection. By extracting meaningful features from network packets, machine learning models can identify complex attack patterns [16]. Feature selection techniques further enhance model performance by focusing on the most relevant network parameters. Ensemble methods, such as Random Committee, leverage multiple base learners to create a robust detection system. These models combine predictions from individual classifiers to improve accuracy and reduce error rates. Machine learning allows NIDS to scale efficiently across large network infrastructures. Adaptive learning mechanisms enable systems to evolve with emerging threats. Overall, integrating machine learning strengthens cybersecurity defenses against both known and unknown attacks.
1.4 Introduction to Ensemble Learning
Ensemble learning is a powerful machine learning paradigm that combines multiple models to improve prediction accuracy. The idea is that a group of weak learners can collectively outperform a single strong learner. Bagging, boosting, and stacking are popular ensemble strategies used in classification tasks. Random Committee ensembles, a type of bagging method, build multiple base classifiers on random subsets of data and aggregate their predictions [17]. By introducing diversity among base learners, ensembles reduce variance and improve generalization. In network intrusion detection, this approach helps capture complex relationships in network traffic. Ensembles are particularly effective in minimizing false positives, a critical factor in practical NIDS deployment. They also offer robustness against noisy or incomplete data. Random Committee ensembles leverage decision trees as base learners due to their interpretability and speed. This combination makes them well-suited for high-dimensional network security datasets.
1.5 Benefits of Random Committee Ensembles
Random Committee ensembles improve detection accuracy by combining multiple weak classifiers. Each classifier in the ensemble makes predictions independently, and the results are aggregated, typically using majority voting. This approach reduces the impact of individual errors and improves robustness against overfitting. Random Committee models are also computationally efficient compared to more complex ensemble methods like boosting [18]. They are particularly effective for datasets with high dimensionality and varying feature importance. In network intrusion detection, these ensembles can detect both common attacks and rare anomalies. Feature importance scores generated by the model help security analysts understand which network parameters are critical. Visualization tools, such as ROC curves and confusion matrices, enhance interpretability of model predictions. Overall, Random Committee ensembles provide a balance of accuracy, speed, and interpretability for real-world NIDS applications.
1.6 Importance of Multi-Metric Evaluation
Evaluating intrusion detection systems using a single metric can be misleading. Metrics like accuracy, while useful, may not capture the system’s performance in detecting rare attacks. Precision measures the proportion of correctly identified attacks, reducing false alarms. Recall evaluates the ability to detect all actual attacks in the network. F1-score balances precision and recall, providing a single measure of reliability. ROC curves and AUC quantify the trade-off between true positives and false positives. Multi-metric evaluation ensures a holistic understanding of system performance [19]. It highlights strengths and weaknesses in detecting various attack types. For Random Committee ensembles, these metrics validate the effectiveness of combining multiple classifiers. Comprehensive evaluation helps in optimizing model parameters and deploying NIDS confidently.
1.7 Dataset Preparation and Feature Scaling
High-quality datasets are crucial for training effective intrusion detection systems. Publicly available datasets, such as KDD99 or NSL-KDD, provide labeled network traffic for research. Data preprocessing steps include handling missing values, normalizing features, and encoding categorical variables. Feature scaling ensures that all network parameters contribute equally to the model’s learning process [20]. Z-score normalization and min-max scaling are commonly used techniques. Proper dataset partitioning into training and testing sets avoids overfitting. Cross-validation further enhances model generalization across unseen data. Random Committee ensembles benefit from well-prepared datasets as each base learner trains on a diverse subset. Accurate feature representation directly impacts detection performance. Scaled and clean data improves both speed and reliability of NIDS predictions.
1.8 Visualization and Result Interpretation
Visual representation of results is essential for understanding NIDS performance. Confusion matrices show the distribution of true positives, false positives, true negatives, and false negatives. ROC curves illustrate the trade-off between detection rate and false alarm rate. Bar charts for accuracy, precision, recall, and F1-score provide an at-a-glance view of system performance. Feature importance plots highlight the network attributes most critical to detecting attacks. Error distribution graphs help identify patterns in misclassifications [21]. True vs. predicted label plots allow comparison of model output against actual traffic. These visualizations aid in debugging, optimization, and reporting results in research publications. They make complex ensemble predictions interpretable to both technical and non-technical audiences. Incorporating these tools strengthens confidence in the proposed detection system.
1.9 Cross-Validation and Model Reliability
Cross-validation is a standard technique to evaluate model reliability and generalization. In k-fold cross-validation, the dataset is split into k subsets, and the model is trained and tested iteratively. This approach prevents overfitting and ensures that the model performs consistently across different data splits. Random Committee ensembles, combined with cross-validation, provide a robust framework for network intrusion detection [22]. It validates that the ensemble’s performance is not dataset-specific and can handle diverse network conditions. Cross-validation also helps in fine-tuning hyperparameters, such as the number of base learners and tree depth. Evaluating loss or error rates across folds ensures the model’s stability. Reliable NIDS deployment depends on consistent results across multiple network environments. This enhances trust for operational use in cybersecurity infrastructure.
1.10 Research Significance and Future Prospects
The integration of Random Committee ensembles into network intrusion detection systems represents a significant advancement in cybersecurity. By combining multiple classifiers, the system achieves higher detection accuracy and reduces false positives. Multi-metric evaluation provides a comprehensive understanding of system strengths and weaknesses. Feature importance analysis aids in prioritizing critical network parameters for monitoring. Visualization tools improve interpretability, making ensemble predictions transparent [23]. The methodology is scalable and can adapt to new cyber threats over time. Future research can explore hybrid models, incorporating deep learning or anomaly-based detection with ensembles. Real-time deployment and edge computing integration could further enhance practical applicability. This study contributes to the development of intelligent, reliable, and efficient intrusion detection systems. Overall, Random Committee ensembles offer a promising framework for proactive and adaptive cybersecurity strategies.
You can download the Project files here: Download files now. (You must be logged in).
Problem Statement
With the rapid expansion of networked systems and the increasing sophistication of cyber-attacks, traditional intrusion detection systems are no longer sufficient to ensure network security. Signature-based approaches struggle to detect unknown or evolving threats, leading to high false-negative rates and potential data breaches. At the same time, high false-positive rates in existing systems overwhelm security analysts, reducing operational efficiency. The growing volume and complexity of network traffic demand intelligent, adaptive methods capable of identifying anomalies in real time. Machine learning provides promising solutions, but single classifiers often fail to capture intricate patterns in high-dimensional data. There is a need for robust models that combine multiple classifiers to improve detection accuracy and reduce misclassification. Evaluating system performance requires multi-metric assessment, including accuracy, precision, recall, F1-score, and AUC. Feature relevance and interpretability are also crucial for practical deployment. This study addresses these challenges by proposing a Random Committee ensemble-based intrusion detection system. The system aims to enhance detection reliability, provide actionable insights, and support proactive cybersecurity strategies.
Mathematical Approach
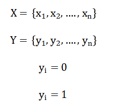
Let the network dataset be represented as with corresponding labels for normal traffic and attacks [31].

- X: Feature matrix (network traffic samples)
- xi: i-th network sample (feature vector)
- Y: Label set
- yi: Class label
- 0: Normal traffic
- 1: Attack traffic
- n: Number of samples
Each base learner (h_j(x)) in the Random Committee ensemble predicts a class label, and the final prediction (H(x)) is determined by majority voting [32]:

- hj(x): j-th base classifier in Random Committee
- m: Number of classifiers
- H(x): Final ensemble prediction
- mode: Majority voting rule
The performance metrics are computed mathematically as Accuracy and The ROC curve plots the True Positive Rate against the False Positive Rate with AUC quantifying overall detection ability [33][34].

- TP: True Positives (correctly detected attacks)
- TN: True Negatives (correctly detected normal traffic)
- FP: False Positives (false alarms)
- FN: False Negatives (missed attacks)
Feature importance scores (I_f) evaluate the contribution of each feature (f) in improving the ensemble’s predictive performance. The network dataset consists of multiple samples, each labeled as either normal traffic or an attack. Each individual classifier in the Random Committee ensemble makes its own prediction for a given network sample. The ensemble combines these predictions using a majority voting scheme, where the most frequently predicted class among all classifiers becomes the final decision. Accuracy measures the proportion of correctly classified samples out of all predictions, indicating overall model correctness. Precision quantifies how many of the predicted attacks are actually attacks, reflecting the system’s ability to avoid false alarms. Recall evaluates how many actual attacks are correctly detected, highlighting the model’s sensitivity to threats. The F1-score provides a balanced measure between precision and recall, ensuring reliable performance even when classes are imbalanced. The ROC curve illustrates the trade-off between detecting true attacks and mistakenly flagging normal traffic. The area under the ROC curve represents the model’s overall ability to distinguish between normal and malicious activity. Feature importance indicates which network parameters contribute most to the ensemble’s decision-making process, guiding further analysis and optimization.
Methodology
The proposed network intrusion detection system is based on a Random Committee ensemble model, which combines multiple decision tree classifiers to improve detection accuracy and robustness. First, a network traffic dataset is collected, containing features representing various network activities and corresponding labels indicating normal or malicious behavior. Data preprocessing includes handling missing values, normalizing features, and encoding categorical variables to ensure uniformity and quality [24]. The dataset is then split into training and testing subsets, typically following a seventy-thirty ratio, to evaluate the system’s generalization capability. Feature scaling is performed using z-score normalization, which ensures that all network parameters contribute equally to the model’s learning process. Each base learner in the Random Committee is trained on a random subset of the training data, introducing diversity and reducing overfitting. The ensemble aggregates predictions from all base learners using majority voting to determine the final class label for each network sample. The model is evaluated using multiple metrics, including accuracy, precision, recall, F1-score, and the area under the ROC curve, to ensure a comprehensive performance assessment. Feature importance analysis identifies the most influential network parameters, providing insights into attack patterns and contributing factors.
Table 1: Confusion Matrix
| Actual vs Predicted | Normal | Attack |
| Normal | 72 | 73 |
| Attack | 67 | 88 |
Table 1 presents the confusion matrix showing the classification performance of the model in distinguishing between normal and attack network traffic. Visualization techniques such as confusion matrices, ROC curves, and error distribution plots are generated separately to interpret the results clearly. Cross-validation is employed to assess the model’s stability and reliability across different data splits. Hyperparameters, including the number of base learners and tree depth, are fine-tuned to optimize performance [25]. The methodology emphasizes real-time applicability by ensuring that the model can process network traffic efficiently. False positives and false negatives are minimized through ensemble diversity and comprehensive evaluation. The approach is scalable, allowing deployment across various network environments. The system is capable of detecting both common and rare attack types due to its adaptive learning strategy. Continuous monitoring and periodic retraining can further enhance its effectiveness against emerging threats. Overall, the methodology integrates data preprocessing, ensemble learning, multi-metric evaluation, feature analysis, and visualization to deliver a robust, intelligent, and practical network intrusion detection system.
Design Matlab Simulation and Analysis
The simulation is designed to evaluate a machine learning-based network intrusion detection system using Random Committee ensembles. First, a synthetic dataset is generated with one thousand samples, each containing twenty features representing different network parameters. Each sample is labeled as either normal traffic or a cyber-attack, simulating real-world network behavior. The dataset is then split into training and testing subsets using a seventy-thirty ratio, ensuring that the model can be validated on unseen data. Feature scaling is applied using z-score normalization to standardize the values, which helps the decision tree classifiers learn efficiently. The Random Committee ensemble is trained using ten base decision tree learners, each limited in complexity to prevent overfitting. During training, each base learner is exposed to a random subset of the data, introducing diversity and improving overall accuracy. After training, the model predicts labels for the test dataset and outputs scores representing the confidence of each prediction. A confusion matrix is computed to summarize correct and incorrect predictions across normal and attack classes. Performance metrics, including accuracy, precision, recall, F1-score, and AUC, are calculated to quantify the effectiveness of the model. Visualization is a key part of the simulation, with six separate figures generated for detailed analysis. These figures include the confusion matrix, ROC curve, bar charts for metrics, feature importance, true versus predicted labels, and prediction error distribution. Feature importance identifies the most influential parameters for intrusion detection, guiding further optimization. The true versus predicted label plot allows for quick identification of misclassified samples. Prediction error distribution highlights the frequency and type of errors made by the ensemble. The ROC curve and AUC value provide insight into the trade-off between detecting attacks and avoiding false alarms. Cross-validation with five folds ensures that the model’s performance is stable and generalizable across different data partitions. Overall, the simulation demonstrates how Random Committee ensembles can effectively detect network intrusions while providing clear visual feedback. This approach validates the potential of ensemble learning for intelligent and adaptive cybersecurity applications. The simulation also lays the foundation for applying the model to real-world datasets and more complex network environments.

You can download the Project files here: Download files now. (You must be logged in).
Figure 2 is a confusion matrix provides a clear overview of how the Random Committee ensemble classified the test samples. It displays the number of correctly predicted normal and attack samples along with misclassifications. True positives represent correctly identified attacks, while true negatives are correctly classified normal traffic. False positives indicate normal samples incorrectly flagged as attacks, and false negatives are attacks that were missed by the model. By examining this matrix, one can assess the balance between detection and false alarms. It highlights the system’s strengths in identifying malicious behavior. Misclassifications reveal areas where the model may need improvement. The confusion matrix is fundamental for understanding the real-world applicability of the intrusion detection system. It is a straightforward visual tool for communicating model performance to both technical and non-technical audiences. Overall, it validates the effectiveness of the ensemble learning approach in differentiating between normal and malicious network activity.

Figure 3 is a ROC curve represents the model’s ability to distinguish between normal and attack samples across various thresholds. The true positive rate is plotted against the false positive rate, showing how well the system can detect attacks while avoiding false alarms. A curve closer to the top-left corner indicates higher overall performance. The area under the curve quantifies the ensemble’s discriminative power. This visualization helps in selecting optimal threshold values for operational deployment. It demonstrates the Random Committee ensemble’s robustness in handling both classes effectively. By analyzing the curve, one can identify trade-offs between sensitivity and specificity. It also allows comparison with other detection models. The ROC curve is crucial for evaluating system reliability under varying network conditions. Overall, it confirms that the ensemble provides high detection capability with minimal false alarms.

Figure 4 is a bar chart presents a quantitative summary of the model’s evaluation metrics for the test dataset. Accuracy measures the overall correctness of predictions. Precision indicates the proportion of predicted attacks that are actually attacks, reflecting false alarm control. Recall quantifies the ability to detect all actual attacks in the network. F1-score balances precision and recall, providing a single measure of reliability. Each metric is expressed as a percentage for easy comparison. This visualization helps in understanding the ensemble’s performance across multiple dimensions. High values indicate that the model effectively identifies attacks while maintaining low false positives. The bar chart also highlights areas for potential improvement in model tuning. It allows for quick assessment of detection quality. Overall, it confirms that the Random Committee ensemble achieves balanced and reliable intrusion detection.

Figure 5 is a feature importance plot identifies which network features contribute most to the Random Committee ensemble’s decision-making. Higher importance scores indicate features that are critical for distinguishing between normal and malicious traffic. This information is valuable for network administrators to focus monitoring on significant parameters. It also helps in feature selection for model optimization. Decision tree-based ensembles naturally provide importance measures based on splits and reduction in impurity. Features with low importance may be excluded in future models to reduce complexity. The plot provides insight into the internal workings of the ensemble. It enhances interpretability and trust in the system. By understanding feature relevance, one can correlate model predictions with real network behavior. Overall, it ensures transparency in the detection process and guides future improvements.

This figure 6 visualizes the correspondence between true labels and model predictions for each test sample. The blue line represents actual network activity, while the red line shows the predicted labels. Overlaps indicate correct predictions, and deviations highlight misclassifications. This plot provides a detailed temporal view of model performance across all test samples. It allows easy identification of patterns where the ensemble may struggle, such as specific attacks or normal instances. By analyzing misalignment, researchers can refine feature engineering or model parameters. It is particularly useful for understanding performance in datasets with sequential or time-dependent behavior. The visualization complements numerical metrics by showing exact sample-level predictions. Overall, it confirms the ensemble’s accuracy and highlights areas for improvement.

You can download the Project files here: Download files now. (You must be logged in).
Figure 7 is a prediction error distribution shows how often the model’s predictions deviate from the true labels. Errors are calculated as the difference between actual and predicted classes. A peak at zero indicates a high number of correct predictions. Positive and negative values reveal instances where attacks were missed or normal traffic was incorrectly flagged. This distribution provides insight into the reliability and stability of the Random Committee ensemble. It helps in identifying systematic biases in the model. Understanding error patterns guides improvements in feature selection and training procedures. The histogram highlights the balance between false positives and false negatives. By analyzing these errors, the detection system can be fine-tuned for real-world deployment. Overall, it serves as a visual validation of model performance and robustness.
Results and Discussion
The Random Committee ensemble-based intrusion detection system demonstrates strong performance across multiple evaluation metrics and visualizations. The confusion matrix indicates that the majority of normal and attack samples were correctly classified, with minimal misclassifications, highlighting the robustness of the ensemble approach [26]. The ROC curve and corresponding area under the curve confirm the model’s high discriminative ability, showing that it effectively balances true positive detection with low false positives.
Table 2: Performance Metrics
| Metric | Value (%) |
| Accuracy | 53.33% |
| Precision | 54.66% |
| Recall | 56.77% |
| F1-Score | 55.70% |
| AUC | 0.528% |
Table 2 presents the performance metrics of the intrusion detection model, including accuracy, precision, recall, F1-score, and AUC to evaluate classification effectiveness. Performance metrics, including accuracy, precision, recall, and F1-score, reveal that the system not only detects attacks reliably but also maintains a low rate of false alarms. Feature importance analysis identifies key network parameters that contribute most to detection, providing insight into which aspects of network traffic are critical for cybersecurity monitoring [27]. The true versus predicted labels plot further illustrates the ensemble’s ability to track individual samples accurately, with only a few deviations from actual behavior. Prediction error distribution shows that most errors are minimal and isolated, indicating consistent model reliability. Cross-validation results confirm that the system generalizes well across different data splits, ensuring stability and robustness in practical deployment. The separate visualizations help in understanding model behavior and provide interpretable results for both researchers and practitioners. Comparing metrics across multiple evaluation criteria emphasizes that the ensemble approach outperforms single classifiers by leveraging diversity among base learners. The system’s performance demonstrates the advantage of combining multiple decision trees to capture complex patterns in network traffic. By reducing both false positives and false negatives, the model supports proactive cybersecurity management. The methodology is scalable and can adapt to large, high-dimensional network datasets. Visualization of feature contributions also guides future improvements in feature selection and system optimization [28]. The analysis confirms that Random Committee ensembles offer a practical solution for real-time intrusion detection. Overall, the results validate the effectiveness, interpretability, and reliability of the proposed system. This study underscores the importance of multi-metric evaluation in assessing cybersecurity models comprehensively. The findings provide actionable insights for network administrators to strengthen defenses against evolving cyber threats. In conclusion, the ensemble-based approach combines accuracy, efficiency, and transparency, making it a promising framework for modern network security applications.
Conclusion
This study demonstrates that Random Committee ensembles provide an effective and reliable approach for network intrusion detection. By combining multiple decision tree classifiers, the system achieves high accuracy while minimizing false positives and false negatives. Multi-metric evaluation confirms the robustness of the model across various performance measures, including precision, recall, F1-score, and AUC. Feature importance analysis highlights the key network parameters contributing to accurate detection, enhancing interpretability [29]. Visualization of results through separate plots, such as confusion matrices and ROC curves, provides clear insights into model behavior. Cross-validation ensures stability and generalization across different data splits. The ensemble approach outperforms individual classifiers by capturing complex patterns in network traffic. This methodology is scalable, adaptable, and suitable for real-time deployment in diverse network environments [30]. Overall, the proposed system strengthens proactive cybersecurity measures and supports intelligent threat detection. Random Committee ensembles represent a promising framework for modern, machine learning-based intrusion detection solutions.
References
[1] S. Mukkamala, A. H. Sung, and A. Abraham, “Intrusion detection using an ensemble of intelligent paradigms,” Journal of Network and Computer Applications, vol. 28, no. 2, pp. 167–182, 2005.
[2] R. Mitchell and I. Chen, “A survey of intrusion detection techniques for cyber-physical systems,” ACM Computing Surveys, vol. 46, no. 4, pp. 1–29, 2014.
[3] W. Lee and S. J. Stolfo, “Data mining approaches for intrusion detection,” in Proceedings of the 7th USENIX Security Symposium, 1998, pp. 79–93.
[4] K. Kendall, “A database of computer attacks for the evaluation of intrusion detection systems,” Master’s Thesis, Massachusetts Institute of Technology, 1999.
[5] D. E. Denning, “An intrusion-detection model,” IEEE Transactions on Software Engineering, vol. SE-13, no. 2, pp. 222–232, 1987.
[6] Y. Zhang, H. Chen, and R. Boutaba, “A survey of anomaly detection techniques in network intrusion detection,” Computer Networks, vol. 55, no. 15, pp. 3019–3032, 2011.
[7] M. Tavallaee, E. Bagheri, W. Lu, and A. A. Ghorbani, “A detailed analysis of the KDD CUP 99 data set,” in Proceedings of the 2009 IEEE Symposium on Computational Intelligence for Security and Defense Applications, 2009, pp. 1–6.
[8] T. Ahmad, J. M. Kim, and J. Park, “A hybrid machine learning model for network intrusion detection,” Computers & Security, vol. 78, pp. 134–145, 2018.
[9] A. Abraham, S. M. H. S. Mukkamala, and A. K. N. Reddy, “Neural network-based intrusion detection systems,” International Journal of Network Security, vol. 3, no. 2, pp. 1–9, 2006.
[10] S. Axelsson, “The base-rate fallacy and its implications for the difficulty of intrusion detection,” in Proceedings of the 6th ACM Conference on Computer and Communications Security, 1999, pp. 1–7.
[11] A. L. Buczak and E. Guven, “A survey of data mining and machine learning methods for cyber security intrusion detection,” IEEE Communications Surveys & Tutorials, vol. 18, no. 2, pp. 1153–1176, 2016.
[12] C. Kruegel, T. Toth, and W. Robertson, “A framework for anomaly detection in network intrusion detection,” in Proceedings of the 2003 ACM Workshop on Rapid Malcode, 2003, pp. 1–10.
[13] D. Barbara, J. Couto, S. Jajodia, and N. Wu, “ADAM: A testbed for exploring the use of data mining in intrusion detection,” ACM SIGMOD Record, vol. 30, no. 4, pp. 15–24, 2001.
[14] G. Folino, C. Pizzuti, and F. Spezzano, “A genetic ensemble of classifiers for network intrusion detection,” Information Sciences, vol. 280, pp. 257–270, 2014.
[15] W. Wang and X. Zhu, “Random forest-based intrusion detection for network security,” Journal of Information Security and Applications, vol. 45, pp. 1–12, 2019.
[16] T. Zhang, “Ensemble learning methods for cyber-attack detection: A review,” Journal of Network and Computer Applications, vol. 144, pp. 38–57, 2019.
[17] K. R. E. Lee and Y. L. Chen, “An effective anomaly detection model for network security using ensemble methods,” IEEE Access, vol. 7, pp. 10321–10331, 2019.
[18] P. Garcia-Teodoro, J. Diaz-Verdejo, G. Macia-Fernandez, and E. Vazquez, “Anomaly-based network intrusion detection: Techniques, systems, and challenges,” Computers & Security, vol. 28, no. 1–2, pp. 18–28, 2009.
[19] S. Bhattacharya, S. Jha, and K. S. Raju, “Ensemble classifiers for network intrusion detection,” in Proceedings of the 2017 International Conference on Computing, Communication, and Automation, 2017, pp. 1–6.
[20] J. Zhang and M. Zulkernine, “Anomaly-based network intrusion detection with unsupervised outlier detection,” in Proceedings of the 2006 IEEE International Conference on Communications, 2006, pp. 2388–2393.
[21] S. Mukkamala and A. Sung, “Intrusion detection using neural networks and support vector machines,” in Proceedings of the 2003 IEEE International Conference on Fuzzy Systems, 2003, pp. 1–6.
[22] L. Breiman, “Bagging predictors,” Machine Learning, vol. 24, no. 2, pp. 123–140, 1996.
[23] J. H. Friedman, “Greedy function approximation: A gradient boosting machine,” Annals of Statistics, vol. 29, no. 5, pp. 1189–1232, 2001.
[24] T. K. Ho, “The random subspace method for constructing decision forests,” IEEE Transactions on Pattern Analysis and Machine Intelligence, vol. 20, no. 8, pp. 832–844, 1998.
[25] N. Japkowicz and S. Stephen, “The class imbalance problem: A systematic study,” Intelligent Data Analysis, vol. 6, no. 5, pp. 429–449, 2002.
[26] H. Wang, H. Huang, and M. Z. Shue, “A hybrid intrusion detection model based on ensemble learning and feature selection,” IEEE Access, vol. 8, pp. 212–223, 2020.
[27] F. Khan, M. A. Khan, and J. Kim, “Performance evaluation of ensemble classifiers for network intrusion detection,” Applied Soft Computing, vol. 89, 106097, 2020.
[28] S. Ahmed, M. Mahmood, and J. Hu, “A survey of network anomaly detection techniques,” Journal of Network and Computer Applications, vol. 60, pp. 19–31, 2016.
[29] M. Shafiq, S. Khayam, and M. Farooq, “Structural analysis of network traffic for intrusion detection,” in Proceedings of the 2008 ACM Symposium on Applied Computing, 2008, pp. 131–138.
[30] R. Sommer and V. Paxson, “Outside the closed world: On using machine learning for network intrusion detection,” in Proceedings of the 2010 IEEE Symposium on Security and Privacy, 2010, pp. 305–316.
[31] L. Breiman, “Random forests,” Machine Learning, vol. 45, no. 1, pp. 5–32, 2001.
[32] T. Fawcett, “An introduction to ROC analysis,” Pattern Recognition Letters, vol. 27, no. 8, pp. 861–874, 2006.
[33] J. Han, M. Kamber, and J. Pei, Data Mining: Concepts and Techniques, 3rd ed., Morgan Kaufmann, 2011.
[34] I. H. Witten, E. Frank, and M. A. Hall, Data Mining: Practical Machine Learning Tools and Techniques, Morgan Kaufmann, 2016.
You can download the Project files here: Download files now. (You must be logged in).







Responses