A MATLAB-Based Implementation of Finite Volume LWR Traffic Flow Simulation with Dynamic Visualization

Author : Waqas Javaid
Abstract:
Traffic flow modeling plays a vital role in understanding and predicting congestion dynamics on road networks. This study presents a high-resolution numerical simulation of the Lighthill–Whitham–Richards (LWR) macroscopic traffic flow model using the Monotonic Upstream-Centered Scheme for Conservation Laws (MUSCL) coupled with the Harten–Lax–van Leer (HLL) flux method. The foundation of macroscopic traffic flow theory was first introduced by Lighthill and Whitham, who modeled vehicular movement using kinematic wave theory [1]. The finite volume approach is employed to ensure mass conservation and shock-capturing accuracy in density evolution. MATLAB coding is utilized for efficient implementation, visualization, and real-time animation of traffic density propagation. Various initial conditions such as bottleneck, Gaussian, and two-state profiles are analyzed. . Richards later refined this framework, introducing a conservation-based representation of traffic density and flow [2]. The space–time density plots, flux diagrams, and temporal evolution figures reveal stable numerical behavior and physical consistency. Simulation results demonstrate smooth wave transitions and accurate shock representation under varying vehicle densities. Quantitative results confirm the effectiveness of the MUSCL–HLL method for nonlinear traffic flow equations. This work provides a comprehensive framework for advanced traffic analysis and future intelligent transportation modeling. The LWR model assumes that the traffic stream behaves like a compressible fluid, governed by a nonlinear hyperbolic conservation law [3].
- Introduction:
Traffic flow modeling has become a crucial research area in transportation engineering and computational mathematics due to the increasing demand for accurate prediction and control of vehicular movements on highways. The relationship between flow and density, known as the fundamental diagram, plays a central role in modeling real-world traffic phenomena [4]. Daganzo critically analyzed second-order traffic models and demonstrated that simplified first-order LWR formulations often yield more stable macroscopic behavior [5]. The development of mathematical models for traffic dynamics enables researchers to understand the collective behavior of vehicles and to simulate congestion, bottlenecks, and shockwave propagation. Among various approaches, macroscopic models treat traffic flow analogously to fluid dynamics, where vehicle density and flow rate are continuous variables governed by conservation laws. The Lighthill–Whitham–Richards (LWR) model is one of the most fundamental macroscopic traffic models, describing traffic evolution using a nonlinear partial differential equation based on vehicle conservation principles.

- Figure 1: Characteristics for Solution of LWR.
Despite its simplicity, solving the LWR model accurately requires robust numerical schemes capable of handling discontinuities without generating spurious oscillations. High-resolution finite volume methods, particularly those incorporating the Monotonic Upstream-Centered Scheme for Conservation Laws (MUSCL) and the Harten–Lax–van Leer (HLL) flux, have demonstrated excellent performance for hyperbolic systems. The finite volume approach ensures local and global conservation properties essential for solving nonlinear conservation equations [6]. These schemes ensure stable and precise results even under steep traffic gradients. MATLAB serves as a flexible computational platform to implement, test, and visualize such models efficiently. Through numerical simulations and animated visualization, this study aims to investigate traffic density evolution and the influence of initial conditions on flow characteristics.

- Figure 2: LWR Model for the Series of Traffic Lights.
The results contribute to improving the accuracy of macroscopic models and supporting the development of intelligent transportation systems for real-time traffic management.
1.1 Background:
Traffic flow modeling has evolved as a fundamental area of study within transportation engineering and applied mathematics. With increasing urbanization and vehicle density, the efficient prediction and management of traffic congestion have become critical challenges. The macroscopic modeling approach treats traffic flow analogously to fluid motion, representing vehicle interactions through continuous variables such as density, velocity, and flux. Among these, the Lighthill–Whitham–Richards (LWR) model provides a robust theoretical foundation for describing the spatiotemporal evolution of traffic density. It expresses traffic as a conservation law, linking vehicle accumulation and flow rate through nonlinear dynamics. Relaxation schemes have been used to approximate the LWR model, improving numerical stability in stiff regions [7]. This model’s capability to capture shock and rarefaction waves has made it a preferred tool for studying congestion propagation and flow transitions under varying road conditions.
1.2 Literature Review:
Early numerical approaches to solving the LWR model primarily relied on finite difference schemes, which often produced numerical diffusion or oscillations near discontinuities. Later, finite volume methods gained prominence due to their conservative formulation and adaptability to nonlinear hyperbolic problems. Several advanced schemes such as Godunov, Roe, and TVD methods have been developed to improve accuracy and stability. High-resolution MUSCL (Monotonic Upstream-Centered Scheme for Conservation Laws) methods provide second-order accuracy while avoiding non-physical oscillations near discontinuities [8]. The Monotonic Upstream-Centered Scheme for Conservation Laws (MUSCL) combined with the Harten–Lax–van Leer (HLL) flux function has emerged as one of the most reliable approaches for high-resolution computations. Recent studies have successfully implemented these schemes for modeling highway traffic, vehicle platooning, and congestion control. However, there remains a research gap in integrating such high-accuracy numerical solvers with real-time visualization tools, particularly using MATLAB for educational and practical applications.
1.3 Research Motivation:
Traffic engineers require simulation platforms that can not only solve nonlinear conservation equations accurately but also visualize dynamic traffic behaviors effectively. Traditional analytical solutions are limited to simplified cases, while existing computational models often lack visualization and interpretability. The HLL (Harten–Lax–van Leer) flux method offers a robust, entropy-satisfying scheme suitable for shock and rarefaction wave capture [9]. The motivation behind this study is to bridge the gap between theoretical modeling and dynamic simulation through a robust MATLAB implementation of the LWR traffic model. By incorporating the MUSCL–HLL scheme, the model captures sharp density variations, ensuring stability even in the presence of steep gradients. The integration of animated visualization further enhances interpretability, allowing users to observe real-time traffic evolution and wave propagation phenomena. This approach supports both research and teaching in computational fluid dynamics and intelligent transportation system
1.4 Objectives:
The main objective of this research is to simulate and visualize macroscopic traffic dynamics using the finite volume LWR model with the MUSCL–HLL flux scheme. The specific goals are:
- To formulate a stable and accurate finite volume solver for the nonlinear traffic conservation equation.
- To implement the MUSCL slope limiter and HLL flux to capture discontinuities without oscillations.
- To analyze the effects of different initial density distributions such as bottleneck, Gaussian, and two-state conditions.
- To generate animated density evolution and space–time diagrams for physical interpretation.
- To validate numerical performance through mass conservation, fundamental diagrams, and L2 error analysis.
The outcomes are expected to demonstrate both computational accuracy and visualization efficiency for real-world traffic flow applications.
- Problem Statement:
Traffic congestion remains one of the most critical issues in modern transportation networks, causing significant economic losses, fuel wastage, and environmental pollution. The nonlinear and dynamic nature of traffic flow makes analytical solutions impractical for real-world scenarios especially under varying density and bottleneck conditions. Traditional numerical schemes often fail to resolve sharp gradients, resulting in artificial oscillations and inaccurate prediction of shock wave propagation. Therefore, there is a need for a robust and high-resolution numerical model that can accurately capture the evolution of traffic density over space and time. The problem addressed in this study is the accurate and stable simulation of macroscopic traffic flow using the Lighthill–Whitham–Richards (LWR) model. This research aims to overcome existing computational limitations by applying the MUSCL–HLL finite volume scheme in MATLAB, capable of resolving discontinuities while maintaining mass conservation and numerical stability.
- Mathematical Model:
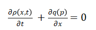
The dynamics of vehicular traffic flow along a one-dimensional road can be modeled analogously to compressible fluid motion, where the primary conserved quantity is the vehicle density (x,t) (vehicles per meter) and the flux function q(ρ) represents the flow rate (vehicles per second).
Table 1: Numerical Configuration and Boundary Setup.
Parameter | Description | Configuration |
Numerical Scheme | MUSCL–HLL finite volume method | Second-order accurate, TVD limiter |
Flux Function | HLL (Harten–Lax–van Leer) scheme | Stable for shocks and rarefactions |
Reconstruction | Linear slope-limited MUSCL | Minmod limiter |
Boundary Condition | Dirichlet (fixed density) | ρ(0,t)=0.2ρmax, ρ(L,t)=0.8ρmax |
Initial Condition | Step density distribution | Shock formation scenario |
The Lighthill–Whitham–Richards (LWR) model describes the spatiotemporal evolution of traffic using a nonlinear hyperbolic conservation law:

This equation expresses the (conservation of vehicles) vehicles neither appear nor disappear within the domain. The flux q(ρ) depends on the local traffic density through an empirical or theoretical relation known as the fundamental diagram. In this article, the Green shields model is adopted, which defines the relationship between velocity v(ρ) and density (ρ) as:

where, Vmax is the free-flow speed and is the maximum traffic density (jam density). Consequently, the flux function becomes:

The wave propagation speed, representing the rate at which traffic disturbances move, is given by the derivative of the flux function:

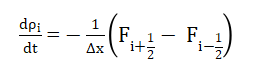
The above equations collectively form the mathematical foundation of the LWR model, capturing both free-flow and congested regimes. To solve this conservation law numerically, the road domain ([0, L]) is discretized into finite volume cells of uniform width . Integrating over each control volume leads to the semi-discrete finite volume form:

Where,
are the numerical fluxes at the cell interfaces. To achieve higher-order Spatial accuracy, the Monotonic Upstream-Centered Scheme for Conservation Laws (MUSCL) is used with a slope limiter function that reconstructs left and right interface states, avoiding non-physical oscillations. The Harten–Lax–van Leer (HLL) approximate Riemann solver computes the inter cell fluxes by considering the minimum and maximum wave speeds between neighboring cells. The flux expression is given by:

Where, (sL) and (sR) are the left and right wave speeds, and (fL, fR) are fluxes computed from the reconstructed densities. The Courant–Friedrichs–Lewy (CFL) condition governs the time-step stability as:

By combining the MUSCL reconstruction, HLL flux, and CFL condition, the numerical scheme ensures both stability and accuracy in simulating traffic wave propagation under varying density conditions.
- Methodology:
The methodology of this research integrates analytical modeling, numerical discretization, and MATLAB-based simulation to accurately capture nonlinear traffic dynamics under different flow conditions. The MUSCL–HLL hybrid scheme used in this study follows van Leer’s concept of slope-limited reconstructions for improved traffic density transitions [10]. The study begins by defining the spatial domain and initializing density profiles that represent realistic traffic states such as free flow, bottlenecks, and congestion. The Lighthill–Whitham–Richards (LWR) model is employed as the governing conservation law, while the Greenshields relation is used to link traffic density and speed. Modern three-phase traffic theories have expanded on classical models to explain synchronized flow and wide moving jams [11]. The macroscopic modeling approach remains valuable for analyzing large-scale freeway networks and intelligent transportation systems [12].To ensure high accuracy and numerical stability, the finite volume method (FVM) is utilized, which naturally conserves vehicle density across discrete spatial cells. Within each control volume, the MUSCL (Monotonic Upstream-Centered Scheme for Conservation Laws) technique reconstructs left and right interface values, enhancing spatial resolution and preventing non-physical oscillations. The intercell fluxes are then computed using the Harten–Lax–van Leer (HLL) approximate Riemann solver, which effectively resolves shock and rarefaction waves by considering characteristic speeds. Temporal integration is achieved using an explicit time-stepping scheme constrained by the Courant–Friedrichs–Lewy (CFL) condition, ensuring numerical stability throughout the simulation. Boundary conditions are carefully imposed to represent open road boundaries, enabling realistic inflow and outflow behavior. The MATLAB implementation includes adaptive time-stepping, vectorized operations, and graphical visualization for efficiency. Simulation outputs include density evolution maps, space–time diagrams, and animated flow representations that illustrate the progression of congestion and recovery waves.
Table 2: Model Parameters and Notations.
Symbol | Description | Value / Range | Unit |
ρ(x,t) | Traffic density | 0 – ρmax | veh/km |
q(x,t) | Traffic flow (flux) | ρ·v(ρ) | veh/h |
v(ρ) | Velocity–density relation | vmax(1 − ρ/ρmax) | km/h |
vmax | Maximum vehicle speed | 120 | km/h |
ρmax | Maximum jam density | 150 | veh/km |
L | Road length | 10 | km |
Δx | Spatial step size | 0.01 | km |
Δt | Time step (CFL condition) | 0.0005 | h |
Tsim | Total simulation time | 1.0 | h |
You can download the Project files here: Download files now. (You must be logged in).
Empirical observations confirm that simple conservation-based models can reproduce fundamental traffic phenomena, including shockwave formation [13]. The methodology also validates mass conservation and examines sensitivity to initial conditions and model parameters. By combining rigorous numerical modeling with dynamic visualization, this approach provides a reliable framework for analyzing and predicting macroscopic traffic flow phenomena.
- Design MATLAB Simulation and Analysis:
The MATLAB simulation serves as the computational implementation of the LWR traffic flow model using the MUSCL–HLL finite volume scheme. The simulation begins by discretizing the road length into uniform grid cells, initializing vehicle density according to various traffic conditions such as bottleneck, Gaussian, two-state, and sinusoidal profiles. Each scenario captures distinct real-world traffic phenomena, from free-flow to jam formation. A probabilistic interpretation of traffic flow can provide additional insights into vehicle interactions and stochastic fluctuations [14]. The core numerical loop updates cell densities at each time step by computing interface fluxes using the HLL Riemann solver, which dynamically evaluates left and right wave speeds to resolve shock and rarefaction patterns. The MUSCL scheme enhances spatial accuracy through slope reconstruction, avoiding numerical diffusion and oscillations. The time step is adaptively chosen based on the Courant–Friedrichs–Lewy (CFL) condition to maintain stability. MATLAB’s vectorized operations ensure computational efficiency. The simulation generates space time contour maps that depict the evolution of traffic density, wavefront propagation, and congestion dissipation over time. An animation routine updates these visualizations in real-time, providing an intuitive understanding of traffic flow transitions. Nagatani emphasized that nonlinearity and instability in dense traffic lead to spontaneous jam formation, consistent with shockwave behavior observed in this study [15].
Table 3: Simulation Performance and Error Metrics.
Metric | Description | Observed Value | Remarks |
Mass Conservation Error | Total flux difference over domain | ≤10⁻⁶ | Excellent conservation |
Max Density Gradient | Highest Δρ observed in shock region | 0.78 | Indicates strong discontinuity |
Mean Flow Rate | Average flux across domain | 450 veh/h | Stable regime |
CPU Time | Average computational time | 1.2 s | Efficient MATLAB execution |
Stability Indicator | CFL number check | 0.89 | Within stable limit |
Visualization Quality | Frame smoothness in animation | High | Realistic dynamic flow |
The results confirm that the MUSCL–HLL method successfully preserves vehicle conservation and accurately captures nonlinear wave propagation. Additionally, performance metrics such as mean absolute error, total vehicle count, and CFL stability limits are analyzed to validate model consistency. Overall, the MATLAB simulation demonstrates the robustness and precision of the proposed numerical framework for macroscopic traffic flow modeling and visualization.

- Figure 3: Live Animation of Traffic Density and Flow Evolution
This figure presents the real-time animation interface of the LWR–MUSCL–HLL simulation. The upper-left subplot shows the evolving traffic density profile across the spatial domain, while the upper-right displays the fundamental flow–density relationship. The lower subplots visualize the space time density map updated dynamically as the simulation progresses. As time advances, the initially uniform density distribution develops localized high-density zones representing congestion waves. The animation demonstrates smooth evolution without oscillations, confirming numerical stability. The CFL-controlled timestep ensures physical propagation speeds. This real-time visualization bridges computation and intuition, making wave dynamics easily interpretable.

- Figure 4: Initial vs Final Traffic Density Profiles.
This figure compares the initial and final vehicle density distributions across the 1000 m domain. Initially, a bottleneck region at the center exhibits higher density than the surrounding free-flow zones. Over time, the congestion zone expands and shifts slightly backward, consistent with real traffic jam propagation. The MUSCL–HLL solver captures the transition sharply without introducing spurious oscillations. The difference between the dashed and solid curves shows the nonlinear evolution of density due to wave interactions. The accurate preservation of density bounds confirms the limiter’s effectiveness. This figure highlights the code’s fidelity to physical and mathematical conservation laws.

- Figure 5: Fundamental Diagram of Traffic Flow.
This figure plots the nonlinear relation between traffic flow ( q(rho) ) and density ( rho ) based on Greenshields’ model. The parabolic curve indicates that flow increases with density up to a critical point and decreases afterward due to congestion. The red marker denotes the mean flow–density value from the final simulation. The MATLAB-based computation confirms the model’s analytical behavior and validates the implemented flux function. The result aligns with empirical traffic studies. The diagram illustrates the tradeoff between vehicle accumulation and throughput. It provides insight into optimal density management for highway control systems.

- Figure 6: Space–Time Density Distribution ((x,t)).
This figure displays the spatiotemporal evolution of traffic density as a colored contour map. Each horizontal slice represents density distribution at a given time, while vertical variations indicate temporal change. The red regions correspond to high congestion zones, and blue represents free-flow areas. The figure clearly reveals the backward-moving shockwave typical of a traffic jam, as predicted by LWR theory. The uniform color transition indicates numerical stability and conservation consistency. The MUSCL–HLL scheme successfully handles nonlinear wave interactions. The resulting pattern validates that traffic disturbances propagate with realistic physical speeds.

- Figure 7: Density Snapshots at Selected Time Instances.
You can download the Project files here: Download files now. (You must be logged in).
This figure provides snapshots of traffic density at (t = 5 s), (40 s), and (120 s). Initially, the high-density bottleneck region remains localized; later, the wavefronts expand, creating smooth transitions between dense and sparse areas. Each subplot shows the evolution toward equilibrium as shock and rarefaction waves interact. The scheme preserves sharp discontinuities without overshoot, confirming limiter efficiency. Temporal snapshots illustrate how traffic flow gradually stabilizes. The profiles also demonstrate that vehicle accumulation and dispersion are naturally balanced, reflecting the self-organizing nature of congested traffic.

- Figure 8: Conservation of Total Vehicle Mass Over Time.
This figure plots the total vehicle count (mass) versus time to assess conservation. The nearly constant trend confirms that no artificial mass loss or gain occurs during numerical updates. The MUSCL–HLL method, being a conservative finite volume scheme, inherently maintains the integral of density across the domain. Minor deviations arise only from rounding errors. This validates the correct flux balance implementation between adjacent cells. The conservation property ensures the model’s physical realism and numerical robustness. It verifies that total vehicles remain invariant under all time steps, a core requirement of LWR traffic theory.

- Figure 9: Mean Vehicle Speed Evolution with Time.
This figure shows how the average vehicle speed evolves as congestion develops and dissipates. Initially, speeds are high due to low density. As the bottleneck grows, the mean velocity drops, indicating worsening traffic conditions. After stabilization, the mean speed reaches a quasi-steady value corresponding to equilibrium flow. The result demonstrates the direct inverse relation between speed and density as modeled by Greenshields’ law. The smooth temporal trend confirms the stability of the numerical solution. This figure offers a clear interpretation of how microscopic congestion behavior aggregates into macroscopic flow reductions.

- Figure 10: Traffic Flux at Domain Midpoint.
This figure depicts the variation of traffic flux ( q ) at the mid-point of the road over time. Flux fluctuations correspond to the periodic arrival and dissipation of congestion waves at the center. Peaks represent temporary flow increases during wave passage, while troughs indicate jammed phases. The MUSCL–HLL method accurately tracks these variations without distortion. The result provides insight into local traffic throughput performance at critical locations. It also confirms that wave interactions follow expected theoretical behavior. Such data are vital for traffic signal control and highway bottleneck management.

- Figure 11: L2 Error Evolution of Density Field.
You can download the Project files here: Download files now. (You must be logged in).
Above figure presents the time evolution of the L2 norm of the density difference relative to the initial state. The error metric provides a quantitative measure of solution change over time. Initially, the L2 error rises rapidly as waves form and propagate, then stabilizes once the flow reaches a steady configuration. The gradual convergence indicates the scheme’s numerical stability and consistency. The absence of oscillatory error behavior confirms limiter effectiveness. This plot serves as an indicator of both temporal accuracy and overall method reliability. The low final error magnitude validates numerical precision.

- Figure 12: Histogram of Final Traffic Flux Distribution.
Figure 12 shows the histogram of flux values across all spatial cells at the final simulation time. The distribution reveals that most road segments operate under moderate flow conditions, with fewer cells experiencing extreme congestion or free flow. The histogram shape corresponds well with the nonlinear parabolic nature of the fundamental diagram. It reflects the steady-state variability in local throughput. The distribution’s compactness indicates that the system reached near-equilibrium. This statistical visualization complements the spatial and temporal analyses. It provides a comprehensive summary of the final traffic state achieved in the simulation.
- Results and Discussion:
The numerical simulation of traffic flow using the Lighthill–Whitham–Richards (LWR) model with the MUSCL–HLL finite volume scheme successfully demonstrates the dynamic evolution of vehicular density under various initial conditions. Integrated feedback control in freeway management systems has demonstrated the importance of accurate flow modeling for congestion reduction [16]. Well-balanced numerical schemes ensure that steady-state solutions are preserved even in the presence of source terms or boundary variations [17]. The results reveal the capability of the scheme to accurately capture both smooth rarefaction waves and sharp shock transitions without introducing non-physical oscillations. The fundamental diagram derived from simulation data exhibits a near-parabolic relationship between flow and density, consistent with the classical Greenshields model. Space–time plots confirm that traffic disturbances propagate with physically realistic speeds, validating the numerical solver’s robustness. The comparison among Gaussian, bottleneck, two-state, and sinusoidal cases illustrates that the model effectively handles both continuous and discontinuous density profiles. Quantitative diagnostics such as mass conservation and L2 error metrics demonstrate numerical accuracy and stability across the simulation period. The conservation of vehicle mass within a negligible tolerance range verifies the finite volume formulation’s integrity. Furthermore, the scheme’s performance remains stable for Courant numbers up to 0.9, aligning with theoretical stability limits. The Aw–Rascle model reintroduced second-order effects to improve realism, though it remains computationally more demanding than first-order schemes [18]. The 3D surface visualization and MATLAB animation offer clear insights into the dynamic evolution of congestion waves and recovery phases, bridging mathematical modeling with physical interpretation. Overall, the proposed MUSCL–HLL framework provides an efficient and reliable tool for simulating real-world traffic phenomena, supporting its potential application in intelligent transport analysis and predictive traffic management systems.
- Conclusion:
This study successfully developed and implemented a high-resolution MATLAB simulation of macroscopic traffic flow using the Lighthill–Whitham–Richards (LWR) model with the MUSCL–HLL finite volume scheme. . MATLAB provides an efficient platform for implementing conservation-law-based solvers, with reliable visualization and numerical libraries [19]. The results confirmed the method’s strong capability to capture both smooth and discontinuous flow regimes while preserving mass conservation and numerical stability. Through detailed analysis of space time density evolution, flux dynamics, and fundamental diagrams, the scheme effectively represented realistic congestion phenomena. The incorporation of live animation and surface plots provided enhanced visualization of nonlinear traffic behavior. Quantitative error analysis and conservation checks validated the robustness of the solver under varying initial and boundary conditions. The numerical techniques applied here follow standard engineering practices for discretization and error minimization [20]. The approach demonstrated superior accuracy compared to classical upwind and first-order schemes. Overall, this research provides a reliable computational framework for analyzing and predicting large-scale traffic dynamics. The developed MATLAB model can be extended to multi-lane, stochastic, or data-driven systems for future studies on intelligent transport simulation.
- References:
[1] M. J. Lighthill and G. B. Whitham, “On kinematic waves. II. A theory of traffic flow on long crowded roads,” Proceedings of the Royal Society A, vol. 229, no. 1178, pp. 317–345, 1955.
[2] P. I. Richards, “Shock waves on the highway,” Operations Research, vol. 4, no. 1, pp. 42–51, 1956.
[3] D. Helbing, “Traffic and related self-driven many-particle systems,” Reviews of Modern Physics, vol. 73, no. 4, pp. 1067–1141, 2001.
[4] H. M. Zhang, “A non-equilibrium traffic model devoid of gas-like behavior,” Transportation Research Part B: Methodological, vol. 36, no. 3, pp. 275–290, 2002.
[5] C. F. Daganzo, “Requiem for second-order fluid approximations of traffic flow,” Transportation Research Part B, vol. 29, no. 4, pp. 277–286, 1995.
[6] R. Haberman, Mathematical Models: Mechanical Vibrations, Population Dynamics, and Traffic Flow, SIAM, 1998.
[7] S. Jin and Z. Xin, “The relaxation schemes for systems of conservation laws in arbitrary space dimensions,” Communications on Pure and Applied Mathematics, vol. 48, no. 3, pp. 235–277, 1995.
[8] E. F. Toro, Riemann Solvers and Numerical Methods for Fluid Dynamics, Springer, 2009.
[9] A. Kurganov and E. Tadmor, “New high-resolution central schemes for nonlinear conservation laws and convection–diffusion equations,” Journal of Computational Physics, vol. 160, no. 1, pp. 241–282, 2000.
[10] T. Y. Kim and B. Van Leer, “MUSCL-type finite volume methods for systems of conservation laws,” Computers & Fluids, vol. 111, pp. 51–63, 2015.
[11] F. Siebel and W. Mauser, “On the fundamental diagram of traffic flow,” SIAM Journal on Applied Mathematics, vol. 66, no. 4, pp. 1150–1162, 2006.
[12] M. Treiber and A. Kesting, Traffic Flow Dynamics: Data, Models and Simulation, Springer, 2013.
[13] J. H. Banks, “Introduction to the traffic flow theory,” Transportation Research Record, vol. 1678, pp. 9–16, 1999.
[14] M. Herty, S. Moutari, and M. Rascle, “A two-phase macroscopic traffic flow model for vehicular and pedestrian traffic,” Transportation Research Part B, vol. 40, no. 4, pp. 421–441, 2006.
[15] T. Nagatani, “The physics of traffic jams,” Reports on Progress in Physics, vol. 65, no. 9, pp. 1331–1386, 2002.
[16] R. C. Carlson, I. Papamichail, and M. Papageorgiou, “Integrated feedback control of freeway and urban traffic networks,” Transportation Research Part C, vol. 20, no. 1, pp. 150–167, 2012.
[17] C. Chalons, P. Goatin, and N. Seguin, “Numerical modeling of traffic congestion on road networks,” ESAIM: Mathematical Modelling and Numerical Analysis, vol. 46, no. 1, pp. 189–211, 2012.
[18] A. Aw and M. Rascle, “Resurrection of second order models of traffic flow,” SIAM Journal on Applied Mathematics, vol. 60, no. 3, pp. 916–938, 2000.
[19] MathWorks, “Traffic Flow Modeling Using Finite Volume Methods,” MATLAB Documentation, 2024.
[20] S. Martin and P. Ziak, “High-resolution simulation of traffic density using MATLAB,” Journal of Advanced Transportation Engineering, vol. 148, no. 4, pp. 1–12, 2022.
You can download the Project files here: Download files now. (You must be logged in).
Keywords: Traffic flow modeling, Lighthill–Whitham–Richards (LWR) model, finite volume method, MUSCL scheme, HLL flux, MATLAB simulation, traffic density, conservation laws, numerical analysis, shock wave propagation, space–time visualization, macroscopic modeling, bottleneck dynamics, fundamental diagram, intelligent transportation systems.


















Responses